数据来源:中国科学院紫金山天文台 资料整理:杨旸、高良超、ZY-LunarCrater 时刻系东经120度标准时(北京时间) 天象包括行星天象(合日、冲日、凌日、大距、行星最小角距、地球过远近日点、升降交点、纬度最南最北,以及行星相合、行星合恒星等),月相,月球过远近地点、月掩行星和恒星,变星,日月食,二分二至,彗星,流星雨,月闪等诸多天文事件。 2025年2月12日为农历乙巳年正月(zhēng yuè)十五,是习俗上的元宵节。元宵节节庆中,包括灯会、平溪天灯、台东炸寒单、台南盐水蜂炮及各地传统庆祝仪式等系列活动在各地举办着。农历正月十五的望发生于2月12日21时53分。 2月份入夜后,木星及火星见于天顶附近天空;土星上半月见于西偏南附近低空;金星上半夜见于西方附近低空。 晚间20时过后,东北方大熊座的北斗七星完全升起,与西北方的仙后座“W”5星,对映着正北方的“北极星”。详看北极星的右下侧,可见到与其一起计有7颗星星排列成小北斗的型态,这就是小熊座。小熊座中第2亮的β星,中国古代称为“帝星”,现今称为“北极二”,因岁差之故,在两三千年前较为接近天北极,所以是当时的北极星。冬夜星座的明暗分布及排列形状是较容易辨识的,民众夜间若见到户外的夜空晴朗,不妨出门至视野好且安全的地方,利用手机下载星图软体,抬头试着辨认星空,其中最为容易辨识的就是猎户座,还有环绕其周边的冬季亮星及星座。
春季认星歌 春风送暖学认星,北斗高悬柄指东, 斗口两星指北极,找到北极方向清。 狮子横卧春夜空,轩辕十四一等星, 牧夫大角沿斗柄,星光点点照航程。 (取自台北市立天文科学教育馆)
太阳: 由摩羯座运行至宝瓶座。3日22时10分立春,18日18时07分雨水。4日六九,13日七九,22日八九。太阳活动第25周期预测在2024年4月至2025年2月之间来到极大期。 水星: 由摩羯座经宝瓶座移至双鱼座,顺行。9日上合,水星在太阳背后不可见。视星等-1.0→-1.6→-1.1等,视直径4.8”→6.0”。 金星: 在双鱼座顺行,28日留(视赤经00.49h),转为逆行。15日金星最大亮度(-4.9等),日没后可见于西方附近天空。上、下半月分别约于夜晚21、20时没入西方地平。视星等-4.8→-4.9→-4.8等,视直径32.0”→48.0”。 火星: 在双子座逆行,24日留(视赤经07.26h),转为顺行。日没后可见于东偏北附近天空。上、下半月分别于凌晨4-5、3-4时没入西北方地平。视星等-1.1→-0.3等,视直径13.7”→11.0”。 木星: 在金牛座,4日留(视赤经04.65h)之前逆行,之后转为顺行。日没后可见于天顶附近天空。上、下半月分别约于凌晨2时、1时没入西方地平。视星等-2.5→-2.3等,视直径43.4”→39.7”。 土星: 在宝瓶座顺行。日没后可见于西偏南附近低空。上、下半月分别于夜晚19-20时、18-19时没入西方地平。视星等+1.1等,视直径16.0”→15.7”。 天王星: 在白羊座顺行。12日东方照,日没后可见于西方。视星等+5.7→+5.8等,视直径3.6”。 海王星: 在双鱼座顺行。日没后可见于西南方。视星等+7.9→+8.0等,视直径2.2”。
Magnitude au: 2025/2/1 3D-A/Biela 12.7 21P/Giacobini-Zinner 12.1 P/2010 H2 (Vales) 13.0 C/2023 A3 (Tsuchinshan-ATLAS) 12.2 C/2024 G3 (ATLAS) 8.2
Magnitude au: 2025/2/15 21P/Giacobini-Zinner 11.5 P/2010 H2 (Vales) 12.8 C/2023 A3 (Tsuchinshan-ATLAS) 12.5 C/2024 G3 (ATLAS) 10.4
Tsuchinshan是“紫金山”的威妥玛拼音。 在彗星的正式编号中,位于“/”之前的字母分别为:“P”表示周期彗星,“C”表示非周期彗星,“I”表示星际彗星,“D”表示已无法找到或已解体的彗星,“X”表示无法准确计算彗星轨道(通常适用于历史上较早发现的彗星),最后“A”表示误认为彗星的小行星。
2025/2/1 白昼月掩土星 ★ 2025年2月1日12:52土星合月(视赤经23h16m49s),地心所见土星在月球以南仅1.09度。如此近的距离,在中国(除南海)、日本、俄罗斯部分地区发生白昼月掩土星。约11时暗缘掩入,12时亮缘复出,土星会在月球南端附近被遮住。这次和太阳的夹角只有35度,白天通过天文望远镜看到的土星非常淡,需提前瞄准土星。请抓住这次机会,下一次白昼月掩土星要等到2031年。
现象 北京时间 地理经度 地理纬度 掩始 10:37:44.0 90.83209 21.22971 掩甚 12:00:50.7 104.49758 55.2686 掩终 13:23:47.0 -161.44807 75.90315 掩星时长63分05秒,掩带宽13661.7公里
Saturn = 土星
2025/2/1 金星、蛾眉月、土星垂直排列 + 海王星和金星最接近 ★★★★ 2月1日(农历正月初四)傍晚,请看西方低空,可以看到月龄3的蛾眉月。月球下方有距离约3度的土星。因为中午刚发生了白昼月掩土星,所以间隔比较窄。上方距离月球约8度的地方有颗明亮的金星。这天也是海王星和金星最接近(最小角距)的时候,海王星在金星以南约3度。这是以金星为线索找到海王星的机会,但因为星等差高达12.5等(亮度差约10万倍),所以似乎很难一起观察。金星、蛾眉月、土星垂直排列,如此美景可别错过哦!
“蛾眉月”还是“娥眉月”? 蛾眉,指夜间雄蚕蛾的触须细长而弯曲。蒋骥注:“蛾眉,眉之纤曲如蛾也。”蛾眉弯弯,像月亮。 南朝宋·鲍照《玩月城西门廨中》诗:蛾眉蔽珠栊,玉钩隔绮窗。 南朝梁·何逊《七召》:俄而夕鹜东返,落日西悬,绮霞映水,蛾月生天。 唐·窦弘余《广谪仙怨·胡尘犯阙冲关》词:独望天边初月,蛾眉犹自弯弯。 宋·释文珦《初三夜月》诗:新月似蛾眉,娟娟止片时。 清·纳兰性德《点绛唇·一种蛾眉》词:一种蛾眉,下弦不似初弦好。 今所见早期古代典籍如《诗经》《楚辞》俱作“蛾眉”。故此,苏教版小学科学课本上的“蛾眉月”是正确的。中国天文学会天文学名词审定委员会公布的(全国统一)标准名词沿用的就是自然界的蛾眉月,而不是女性化的“娥眉月”。
“合”与“最小角距”不一样 “合”是两星赤经或黄经同度。有两种情况:(1)凡称行星合月或合恒星或合他行星,皆指地心视赤经相合而言。(2)惟行星合日(行星与太阳相合)则用地心视黄经,冲亦如之。内行星(即水星、金星)合日有上下之分,“上合”乃行星见于太阳后方,即太阳居地球与行星之间;“下合”乃行星见于太阳前方,即行星居太阳与地球之间。行星与太阳黄经相合时,地心所见行星与太阳的黄纬差如果是正数,就是在太阳的北面;如果是负数就是在太阳的南面。(合日时行星接近太阳,白天不易看见。) 两星赤经相合的发生时刻并不是两颗行星最接近的时间,公众最有兴趣的其实是“最小角距”(appulse),即是两颗星最接近的时间。“最小角距”是视觉上两个天体近距离接近,只是视觉效果,并非涉及的两颗天体在太空中真正的接近。 说行星合行星=两星接近,如果不求精密,这是可以的。但要精密计算,两星相合与“最小角距”的意义便不能混淆。例如2025年2月4日03:53海王星合金星(视赤经23h54m51.8s),地心所见海王星在金星以南3.96度的地方,此时两星视赤经经度相同,但不是最接近(最小角距)的时间。
2025/2/2 金星合月 ★★★★ 2月2日04:27金星合月(视赤经23h49m48s),地心所见金星在月球以北2.35度的地方。 从2月2日(农历正月初五)傍晚开始,在夜晚、西南偏西的低空可以看到月龄4的蛾眉月和金星接近。在弯弯的蛾眉月和明亮的金星之下还可以看到土星。伴随着梦幻般的眉月和夜晚的金星的共演,在几个行星和月亮的接近中也是最美的。金星此后将朝着3月21日的下合,高度开始下降。虽然下个月也能看到这两个天体的接近,但是如果天气晴好的话,就这个月看吧。试着用肉眼或双筒望远镜眺望,或者拍成照片吧!
2025/2/3 立春 ★ 2025年2月3日22时10分28秒立春,太阳视黄经315度,太阳视赤纬-16°20′08″。 公历日期 时刻 节气 候次 年候次 干支 太阳视黄经 候应 二十四番花信风 2025/02/03 22:10:28 立春 初候 1候 癸卯 315° 一候 东风解冻 七番 迎春 2025/02/08 20:35:06 立春 次候 2候 戊申 320° 二候 蛰虫始振 八番 樱桃 2025/02/13 19:14:04 立春 末候 3候 癸丑 325° 三候 鱼陟负冰 九番 望春
2025/2/5 月面X浮现 ★ 上弦月的时候,在月面的缺口处可以看到像字母“X”一样的地形。这种现象就是“月面X”,从附近的维尔纳(Werner)撞击坑的名字来看,在国外被称为“WernerX”或“LunarX”。月面X似乎很早就被看到了,2004年由加拿大的Chapman等人报告后,变得广为人知。月面X并不是每次上弦都能看到的。因为持续时间只有1小时左右,所以机会难得。 2025年2月5日16:23月面X浮现。17:10~19:30左右为观察时间。月面X的地理基准点经纬度坐标为0.9°E、25.3°S,月面余经度(selenographic colongitude)为358°。这是只有在特别的日子的有限时间才能看到的现象。但是,不借助小型天文望远镜的话就看不到。另外,今年是观察月面x的一年,4月5日、6月3日、8月1日、11月27日也能看到。
2025年2月5日17时10分许 日没时 2025年4月5日21时50分许 好条件 2025年6月3日22时20分许 好条件 2025年8月1日19时50分许 好条件 2025年9月29日17时50分许 日没时 2025年11月27日19时45分许 好条件 2026年2月24日16时30分许 日没时
2025/2/5 月掩左更增七 2月5日20时前后,月掩左更增七(白羊座ε星,4.7等)。掩始现象:恒星由月球暗缘掩入。可用小型天文望远镜追踪观测。左更增七是一个位于白羊座的联星系统,距离地球约293光年。
现象 北京时间 地理经度 地理纬度 掩始 17:29:10 47.92124 -25.58464 掩甚 19:36:21 98.63328 12.01493 掩终 21:43:34 157.6740 10.96528 掩星时长90分42秒,掩带宽3524.8公里
R440 = epsilon Arietis = 左更增七
2025/2/7 木星合月 2月7日11:35木星合月(视赤经4h39m14s),地心所见木星在月球以南5.49度的地方。 入夜后20点左右,可在天空中很高的位置看到。虽说接近,但这次间隔了7.5度,条件差到不知道要不要作为天象来介绍。木星在盈凸月下方。金牛座的一等星毕宿五也在距离木星5度多的地方可以看到。下一次木星合月在3月6日。
2025/2/8 半人马座α流星雨极大期(ZHR~6) 往年,2月没有捕捉到明显的流星雨活动。但是,目视观测中最近有一些小流星雨活动,其结构非常有趣。半人马座α流星雨(alpha Centaurids,00102 ACE)在1974年和1980年曾观测到突然出现,近年来在2015年也有报告。不过,由于辐射点位置偏南,在赤纬-58度,因此我国大部分地区的辐射点都没有上升,活动水平也不高。今年受到月光影响,条件极差,不推荐观赏。
2025/2/9 火星和月球倾斜排列 ★★ 2月9日晚上,火星和月球在双子座倾斜排列。仰望天空,有一个月龄11、满月前的盈凸月。在月球左下方,你会发现红色发光的火星。上个月离地球最近的火星,亮度为-0.8等,很早就开始变暗了。下个月接近的时候亮度会下降到接近0等,所以明亮的火星和月球的接近请在这个月好好观赏。如果在2月9日傍晚和10日凌晨进行比较,可以看出2个天体的间隔在变小。
2025/2/10 月掩天樽增三 2月10日0时50分前后,月掩天樽增三(双子座47,5.8等)。掩始现象:恒星由月球暗缘掩入。可用小型天文望远镜追踪观测。天樽增三是双子座的一颗可能的脉动变星,在没有固定振幅或周期性的情况下变化。它距离我们大约390光年。
现象 北京时间 地理经度 地理纬度 掩始 22:07:46 9.53830 29.82258 掩甚 00:07:00 95.57082 58.91168 掩终 02:06:17 154.0688 14.44947 掩星时长72分40秒,掩带宽4115.0公里
R1088 = 47 Geminorum = 天樽增三
2025/2/10 月掩火星 ★ 2025年2月10日03:36火星合月(视赤经7h21m52s),地心所见火星在月球以南仅0.78度。中国、西伯利亚等地在凌晨即将月落之前可以看到月掩火星。火星从月球暗缘掩入。实际上,只能在月落较晚的北部地区和西部地区的一部分能观测到。虽然写了“可以看到月掩火星”,但高度非常低,受到大气影响,条件很糟糕,观察极其困难吧。 月落之前,在西方低空无云、无高楼、无高山遮挡的地方,使用天文望远镜,能看到红色的火星被月球遮住的天文奇观吗?
现象 北京时间 地理经度 地理纬度 掩始 02:09:40.1 -59.04226 42.68033 掩甚 03:50:02.7 70.65834 77.38088 掩终 05:30:29.4 111.75935 26.40411 掩星时长59分31秒,掩带宽5870.9公里
Mars = 火星
2025/2/12 天王星东方照 ★ 2025年2月12日03:30天王星东方照,视星等+5.7等,视直径3.6”。东方照是指行星来到距离太阳东侧90度的位置。东方照是外行星的观测期所剩无几的标志。日落后的高度变低,容易受到大气的影响。天王星不断接近太阳,观测条件将逐渐恶化。
2025/2/13 海后星冲日 ★ 2025年2月13日03:10小行星29号海后星冲日。此时距离地球1.541天文单位,视星等+9.2等,位于狮子座。晚上大部分时间都在地平线上。海后星是一个肉眼看不到的小天体,需要中等口径的天文望远镜。 海后星(29 Amphitrite)是小行星带中最大的S-型小行星之一,直径约212.2公里,可能是继司法星、婚神星、虹神星和大力神星之后的第五大小行星。 海后星的公转周期约1491.013天,轨道比其他较大的小行星更接近圆形,倾斜度也较小。它是迄今为止发现的所有小行星中轨道最圆的。正因如此,海后星的亮度从未像虹神星或韶神星那样明亮,尤其是因为它比这些小行星离太阳更远。在有利的冲日条件下,海后星的星等可达到+8.6等左右,但通常接近双筒望远镜的可见极限,约为+9.5等。
2025/2/15 金星第一次最大亮度(-4.9等)★★★★★ 2025年2月15日7时金星第一次最大亮度(-4.9等,视直径39.2″)。傍晚可见。金星最大亮度发生在东大距约1个月后和西大距约1个月前。今年的1月10日发生了东大距,所以这次是前者。根据金星发光面积和地球与金星的距离的关系,变成月牙形的时候最明亮。因为其亮度达到-4.9等,所以说是异样的亮度也不为过。如果把金星比作一等星,那么普通的一等星只有六等星左右。你能明白金星有多么明亮了吧? 将星球的亮度分成等级用来表示恒星亮度的相对大小,就称为星等,到1850年英国天文家扑逊(Pogson)加以订定标准,规定每一星等的光度差是2.512倍。比1等星还亮的星是0等。再亮的,则用负数表示,如-1、-2、-3等。为什么天文家要用2.512做光度差等级呢?原来1等星的光度约为6等星的100倍,100的5次方根为2.512,即(2.512)⁵=100。 当听说这次金星的亮度是-4.9等,有人会说:“哎呀?小数点第二位四舍五入的话,-4.7等是最大的,所以-4.9等是第一次听说。”实际上光度计算公式被变更了,用新的计算公式计算的话,就会变成这样。所以和以前相比,金星并没有突然变亮。只是有人觉得不太习惯。
2025/2/17 月掩角宿一 2025年2月17日20:46角宿一合月(视赤经13h26m32s),地心所见角宿一在月球以北仅0.33度。月球将从角宿一前面经过,形成一次月球掩星,在大洋洲包括贝克岛、豪兰岛、贾维斯岛、金曼礁、帕尔米拉环礁和托克劳群岛可以看到。我国不可见。
2025/2/18 小行星苏珊娜掩星(极好) 小行星在背景星空中移动时,有时会遮掩远方的恒星,这种现象就是小行星掩星。北京时间2025年2月18日(星期二)凌晨0时19分左右,推定直径约43.5公里、0.03角秒,视星等14.2等小行星苏珊娜(542)Susanna掩双子座7.7等恒星HIP 36771(J2000.0坐标:赤经α07h33m47.380s,赤纬δ+13°24’27.67”),最长见掩时长4.3秒,减光(亮度下降)6.5等,距离月球93度。须提前熟悉观测目标,使用指向定位良好的赤道仪,并配合口径20公分(8吋)以上天文望远镜计时观测,误差勿超过0.5秒。 HIP 36771是一颗黄色中等温度的恒星。HIP 36771在地球上用肉眼是看不到的,它太远太暗了,你需要一个天文望远镜来观察它。HIP 36771与地球的距离约为340.11光年或123.76秒差距。 掩带经过越南河内;中国南沙礼乐滩、西沙中建岛,海南岛中灶村、利国镇、秦标村、黄流镇、莺歌海镇、佛罗镇,云南省屏边苗族自治县、蒙自市、开远市、通海县、峨山彝族自治县、玉溪市、易门县、楚雄市、南华县、牟定县、宾川县、鹤庆县、剑川县、维西傈僳族自治县、贡山独龙族怒族自治县,西藏自治区察隅县、巴青县,新疆维吾尔自治区沙雅县、新和县。 掩星详情: https://www.bedekkingen.vvs.be/predictions/asteroids2025/PDF/A25_02076.pdf https://cloud.occultwatcher.net/event/1508-542-107259-648839-H36771
2025/2/18 雨水 ★ 2025年2月18日18时06分34秒雨水,太阳视黄经330度,太阳视赤纬-11°28′18″。 公历日期 时刻 节气 候次 年候次 干支 太阳视黄经 候应 二十四番花信风 2025/02/18 18:06:34 雨水 初候 4候 戊午 330° 一候 獭祭鱼 十番 菜花 2025/02/23 17:11:32 雨水 次候 5候 癸亥 335° 二候 鸿雁来 十一番 杏花 2025/02/28 16:30:32 雨水 末候 6候 戊辰 340° 三候 草木萌动 十二番 李花
2025/2/21 月掩心宿二 2025年2月21日17:02心宿二合月(视赤经16h30m57s),地心所见心宿二在月球以北仅0.44度的地方。如此近的距离,月球将从心宿二前面经过,形成一次月掩星,在南美洲包括阿根廷、智利、乌拉圭和福克兰群岛等国家和地区可以看到。我国不可见。
2025/2/23 P/2013 R3 (Catalina-PANSTARRS)彗星从天街增二与天街增三之间穿过 2月23日日落后至深夜,透过口径20cm以上的天文望远镜可以观测到卡塔琳娜-泛星彗星P/2013 R3 (Catalina-PANSTARRS)和它的P/2013 R3-A核、P/2013 R3-B核,从金牛座的天街增二与天街增三之间穿过。亮度16等,有条件的天文爱好者可以看看。
2025/2/24 火星留,转为顺行 2025年2月24日17:35火星留(视赤经07.26h),之后转为顺行。以前是相对于星座由东向西移动的逆行,但留之后会回到由西向东移动的顺行。火星距离地球最近的1月12日的距离为0.642AU,但现在已经远到了0.827AU。也就是说,短时间内就疏远了29%。随之视直径从14.58角秒到11.33角秒,亮度从-1.4等到-0.4等,变得模糊了。之后的火星越来越远离地球,从轨道位置上看,以2026年1月10日的合日为目标,正在接近太阳。
2025/2/25 水星和土星接近 ★ 2025年2月26日05:27土星合水星(视赤经23h27m24s),地心所见土星在水星以南1.65度的地方。 在前一天的25日傍晚的西方低空,可见水星和土星接近。水星的亮度是-1.2等,土星是+1.1等。接近间隔很窄,似乎是个好条件,但中间的光线很强,又位于低空,肉眼很难看到吧。建议使用双筒望远镜。
2025/2/27 小行星查里斯掩星(好条件) 小行星在背景星空中移动时,有时会遮掩远方的恒星,这种现象就是小行星掩星。北京时间2025年2月27日(星期四)凌晨0时08分左右,推定直径约51公里、0.03角秒,视星等15.3等小行星查里斯(627)Charis掩猎户座8.3等恒星HIP 28312(J2000.0坐标:赤经α05h58m57.181s,赤纬δ+18°58’46.27”),最长见掩时长9.2秒,减光(亮度下降)7.0等,月球在地平线下。须提前熟悉观测目标,使用指向定位良好的赤道仪,并配合口径20公分(8吋)以上天文望远镜计时观测,误差勿超过0.5秒。 HIP 28312是一颗黄色中等温度的恒星。HIP 28312不能用肉眼看到,你需要一个天文望远镜来观察它。HIP 28312与地球的距离约为231.98光年或74.07秒差距。 掩星详情: https://www.bedekkingen.vvs.be/predictions/asteroids2025/PDF/A25_02083.pdf https://cloud.occultwatcher.net/event/1517-627-84928-649193-H28312
2025/2/28 藏历新年 2025年2月28日(星期五)是藏历新年,藏历木蛇年一月初一(藏历无“正月”一说)。藏历新年也叫“洛萨”,是藏族人民的传统节日。但藏历年的推算法与中国传统农历春节有差异。总体看来藏历新年与农历春节的时间关系有三种:同一天、相差一天、相差三十天。藏历新年庆祝时间为藏历一月初一至十五日,2025年藏历新年时间为公历2月28日至3月2日。参考《西藏天文气象历书》。
2025/02/01 00:13 仙后座RZ星极小(大陵五型食变星) 2025/02/01 12:52 土星合月,土星在月球以南1.09度(白昼月掩土星,约11时暗缘掩入,12时亮缘复出,中国、日本可见)(瞬时中天经度:144.444863) 2025/02/02 01h 249P/LINEAR林尼尔53号彗星通过近日点(周期4.6年) 2025/02/02 04:27 金星合月,金星在月球以北2.35度(瞬时中天经度:-81.58411183) 2025/02/02 06:45 海王星合月,海王星在月球以南1.42度(月掩海王星,西伯利亚可见)(瞬时中天经度:-115.0925089) 2025/02/02 08:38 月球过天赤道,进入北半球 2025/02/02 10:47 月球过近地点,36万7457km,视直径32.5′ 2025/02/02 22h 小行星灶神星与室女座μ星亢宿增七最接近(01°31′) 2025/02/02 23h C/2023 F3 (ATLAS)阿特拉斯彗星通过近日点 2025/02/03 02h 木星与毕宿星团(Mel 25)最接近(05°01′) 2025/02/03 22:10 立春,太阳视黄经315度 2025/02/04 03h 236P/LINEAR林尼尔39号彗星通过近日点(周期7.2年) 2025/02/04 03:53 海王星合金星,海王星在金星以南3.96度 2025/02/04 21:07 木星留(视赤经04.65h),转为顺行 2025/02/05 长蛇座S星极大(米拉变星,7.2~13.3等,周期257日) 2025/02/05 04:18 天秤座δ星氐宿增一极小(大陵五型食变星) 2025/02/05 16:02 上弦 2025/02/05 16:23 月面X浮现 2025/02/05 18:58 仙后座RZ星极小(大陵五型食变星) 2025/02/06 巨蟹座W星极大(7.4~15.1等,周期393日) 2025/02/06 00:47 英仙座β星大陵五极小(大陵五型食变星原型,2.1~3.4等,变光周期2.87日) 2025/02/06 05:12 天王星合月,天王星在月球以南4.70度(瞬时中天经度:-43.24558886) 2025/02/06 23:39 仙后座RZ星极小(大陵五型食变星) 2025/02/07 鹿豹座T星极大(7.3~14.4等,周期373日) 2025/02/07 11:35 木星合月,木星在月球以南5.49度(瞬时中天经度:-121.4935413) 2025/02/08 半人马座α流星雨极大期(ZHR~6) 2025/02/08 大熊座S星极大(7.1~12.7等,周期226日) 2025/02/08 04:21 仙后座RZ星极小(大陵五型食变星) 2025/02/08 18:30 月球视赤纬最北(δ+28°36.5′) 2025/02/08 21:36 英仙座β星大陵五极小(大陵五型食变星原型,2.1~3.4等,变光周期2.87日) 2025/02/09 04h 水星日心黄纬最南,日心黄纬-7.0° 2025/02/09 20:08 水星上合日 2025/02/09 23:24 金牛座λ星毕宿八极小(大陵五型食变星) 2025/02/10 白羊座U星极大(米拉变星,7.2~15.8等,周期371日) 2025/02/10 03:36 火星合月,火星在月球以南0.78度(中国、西伯利亚等地可见月掩火星)(瞬时中天经度:36.32414029) 2025/02/10 12h C/2024 G7 (ATLAS)阿特拉斯彗星通过近日点 2025/02/10 13:58 北河三合月,北河三在月球以北2.07度 2025/02/11 18:24 仙后座RZ星极小(大陵五型食变星) 2025/02/11 18:26 英仙座β星大陵五极小(大陵五型食变星原型,2.1~3.4等,变光周期2.87日) 2025/02/12 03:30 天王星东方照(亮度5.7等,视直径3.6”) 2025/02/12 03:52 天秤座δ星氐宿增一极小(大陵五型食变星) 2025/02/12 21:53 望(满月) 2025/02/12 23:06 仙后座RZ星极小(大陵五型食变星) 2025/02/13 08:02 轩辕十四合月,轩辕十四在月球以南2.13度 2025/02/13 22:16 金牛座λ星毕宿八极小(大陵五型食变星) 2025/02/14 飞马座Z星极大(7.3~13.6等,周期320日) 2025/02/14 03:47 仙后座RZ星极小(大陵五型食变星) 2025/02/15 07h 金星最大亮度(-4.9等,视直径39.2″) 2025/02/15 17h 497P/Spacewatch-PanSTARRS太空观察-泛星彗星通过近日点(周期13.3年) 2025/02/15 18:54 月球过天赤道,进入南半球 2025/02/17 17:51 仙后座RZ星极小(大陵五型食变星) 2025/02/17 20:46 角宿一合月,角宿一在月球以北0.33度 2025/02/17 21:09 金牛座λ星毕宿八极小(大陵五型食变星) 2025/02/18 09:10 月球过远地点,40万4882km,视直径29.5′ 2025/02/18 18:07 雨水,太阳视黄经330度 2025/02/18 22:32 仙后座RZ星极小(大陵五型食变星) 2025/02/19 03:25 天秤座δ星氐宿增一极小(大陵五型食变星) 2025/02/20 天兔座T星极大(7.4~14.3等,周期372日) 2025/02/20 03:13 仙后座RZ星极小(大陵五型食变星) 2025/02/20 03:53 金星过近日点,距离太阳0.718AU 2025/02/21 半人马座T星极大(半规则变星,5.6~8.4等,周期181日) 2025/02/21 01:32 下弦 2025/02/21 17:02 心宿二合月,心宿二在月球以北0.44度 2025/02/21 20:02 金牛座λ星毕宿八极小(大陵五型食变星) 2025/02/22 04:42 天琴座β星渐台二极小(渐台二型食变星原型) 2025/02/23 06:24 月球视赤纬最南(δ-28°41.0′) 2025/02/23 17:17 仙后座RZ星极小(大陵五型食变星) 2025/02/24 室女座R星极大(米拉变星,6.1~12.1等,周期146日) 2025/02/24 11h P/2023 S1彗星通过近日点(周期7.5年) 2025/02/24 17:35 火星留(视赤经07.26h),转为顺行 2025/02/24 21:58 仙后座RZ星极小(大陵五型食变星) 2025/02/25 18:55 金牛座λ星毕宿八极小(大陵五型食变星) 2025/02/26 02:40 仙后座RZ星极小(大陵五型食变星) 2025/02/26 02:58 天秤座δ星氐宿增一极小(大陵五型食变星) 2025/02/26 05:27 水星合土星,水星在土星以北1.65度 2025/02/28 藏历新年,藏历木蛇年一月初一(藏历无“正月”一说),参考《西藏天文气象历书》 2025/02/28 武仙座W星极大(7.6~14.4等,周期280日) 2025/02/28 06h 水星过升交点,日心黄纬0.0° 2025/02/28 08:45 朔(新月) 2025/02/28 11:27 金星留(视赤经00.49h),转为逆行 2025/02/28 23:22 英仙座β星大陵五极小(大陵五型食变星原型,2.1~3.4等,变光周期2.87日)
2025/2/1 00:26 2025/2/1 10:22 2025/2/1 20:18 2025/2/2 06:13 2025/2/2 16:09 2025/2/3 02:04 2025/2/3 12:00 2025/2/3 21:56 2025/2/4 07:51 2025/2/4 17:47 2025/2/5 03:42 2025/2/5 13:38 2025/2/5 23:33 2025/2/6 09:29 2025/2/6 19:25 2025/2/7 05:20 2025/2/7 15:16 2025/2/8 01:11 2025/2/8 11:07 2025/2/8 21:03 2025/2/9 06:58 2025/2/9 16:54 2025/2/10 02:49 2025/2/10 12:45 2025/2/10 22:40 2025/2/11 08:36 2025/2/11 18:32 2025/2/12 04:27 2025/2/12 14:23 2025/2/13 00:18 2025/2/13 10:14 2025/2/13 20:10 2025/2/14 06:05 2025/2/14 16:01 2025/2/15 01:56 2025/2/15 11:52 2025/2/15 21:47 2025/2/16 07:43 2025/2/16 17:39 2025/2/17 03:34 2025/2/17 13:30 2025/2/17 23:25 2025/2/18 09:21 2025/2/18 19:17 2025/2/19 05:12 2025/2/19 15:08 2025/2/20 01:03 2025/2/20 10:59 2025/2/20 20:54 2025/2/21 06:50 2025/2/21 16:46 2025/2/22 02:41 2025/2/22 12:37 2025/2/22 22:32 2025/2/23 08:28 2025/2/23 18:24 2025/2/24 04:19 2025/2/24 14:15 2025/2/25 00:10 2025/2/25 10:06 2025/2/25 20:01 2025/2/26 05:57 2025/2/26 15:53 2025/2/27 01:48 2025/2/27 11:44 2025/2/27 21:39 2025/2/28 07:35 2025/2/28 17:31 (木星大红斑居中时间,转自:https://mp.weixin.qq.com/s/3yahZewhlVVehdHRqIa-SA 作者:杭州市天文学会秦鸿翼)
注1:凡称行星合月、恒星合月、行星合恒星、行星合行星,皆指地心视赤经相同;惟合日、冲日则用地心视黄经。 注2:瞬时中天经度是指行星合月与恒星合月、行星合恒星与行星合行星时,由北极向南极的同一地理经度都能同时看到它们相合时的瞬时中天(纬度不必考虑)。例如2025年2月1日12:52土星合月(视赤经合),地处东经144.4度经线上可以看到它们同时到达中天。中天即是当地的视子午线。详见紫金山天文台官方微信说明。 注3:部分天象(彗星、流星雨、变星等)由于误差原因,无法(也不可能)精确到分钟(min)。
天象载太阳、月球和行星的动态以及其他天文现象,包括: (1)行星的地心天象(冲日、合日、方照、留、内行星东西大距以及金星最亮、火星最近地球等)和日心天象(过近日点和远日点、纬度最北和最南、过升交点和过降交点等); (2)日月食概况; (3)朔、望、两弦,月球过近地点和远地点; (4)月掩行星或掩四颗亮恒星(毕宿五即金牛座α星、轩辕十四即狮子座α星、角宿一即室女座α星、心宿二即天蝎座α星),行星合月,行星之间以及行星与五颗亮恒星(除上列四颗外,另加北河三即双子座β星)之间相合。掩星和合月如果距离合朔24h之内,即不列出,行星之间相合或行星与恒星相合如果距离太阳10°以内,也不列出。
现把各种天象分别说明如下:
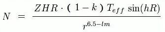
天顶每时出现率(Zenithal Hourly Rate,Rate:率,简称ZHR),是天文学专有名词。来自中国天文学会天文学名词审定委员会审定发布的天文学专有名词中文译名。假设辐射点位于仰角90度的天顶,在理想情况下,一个肉眼视力能够看到6.5等星的观测者可以看见的流星数量最多的流量值。实际能看见的会低于此一数值。 ZHR不应该翻译成“每小时天顶流星数”,国际流星组织(IMO)没有“ZHN=Zenith Hourly Number(天顶每小时流星数)”、“ZHF=Zenith Hourly flow quantity(每小时天顶流量)”这一类的词。维基百科和百度百科根据国际流星组织2017年12月21日上架的《2018流星雨日历》中文版开始,将ZHR的中文翻译为“天顶每时出现率”。开源的星空模拟软件Stellarium(虚拟天文馆)亦在最新的24.4版本中更新了zh_CN和zh_HK的翻译。 预报当地可见的流星数(Number),需按照下列公式计算:
其中,N为可见流星数目(颗);Teff为观测时长;K为云量遮盖率(百分比);lm为可见最暗星星的亮度(最佳条件为6.5等,实际需考虑当地光污染因素);hR为流星雨辐射点距地平线的仰角(地平高度);r为亮度指标,r值通常介于2.0(明亮)到3.5(暗淡)之间。
晨昏蒙影(台湾名:曙暮光):日出前和日没后由高空大气散射太阳光引起的天空发亮的现象称为晨昏蒙影;在日出前的叫做晨光,在日没后的叫做昏影。太阳中心在地平下6°时称为民用晨光始或民用昏影终,这时光线暗淡,需要人工照明。太阳中心在地平下18°时称为天文晨光始或天文昏影终,这时天空完全黑暗,可以看到目视最暗的星。
月相是月球环绕地球公转时,地球、月球、太阳之相对位置的变化,地球上的观测者从不同角度看到月球被太阳照亮的部分,造成月相盈亏圆缺之变化。月相盈亏周期平均是29.530588日,历法中之朔望月源于此。
朔、蛾眉月、上弦、盈凸月、望、亏凸月、下弦,残月分别是月球视黄经超过太阳视黄经0、45、90、135、180、225、270、315度的时刻。
阴历是按月球的月相周期来安排的历法,它的一年有12个朔望月,约354或355日。主要根据月球绕地球运行一周时间为一个月,称为朔望月,大约29.530588日,大月有30日、小月有29日。
月龄是指从新月为起始,在一个朔望月周期内,出现各种月相所经历的天数。月龄的数值通常用带一位小数的数字表示,比如月龄7.4是上弦月,月龄14.8是满月,月龄22.2是下弦月。因此月龄和阴历是有关连的,只不过阴历只显示朔望月每日的整数,而月龄是计算月相所经历的天数,为求更加准确,很多时会显示至小数后一个位(甚至几个位)。如果知道确实的月龄,便能推算出当时月球大致的形状、出没时刻及所在方位。
月掩星:月球在天空中每月移动一周,每小时约东移半度多,相当于月球的视角直径。月球移动时常将恒星和行星掩蔽起来,这种现象称为月掩星。观测月掩星可以测定观测者的地理坐标、研究双星、测定太阳视差及月球位置等,是业余天文学家感兴趣的观测项目之一。专业天文学家亦需要仰赖月掩射电源来求出射电源的准确位置。
合月、月掩星、行星间和行星与恒星相合:行星或恒星合月以及行星之间、行星与恒星相合都是指视赤经相合而言。行星在天球上运行的路线以及四颗亮恒星(毕宿五、轩辕十四、角宿一和心宿二)都很接近黄道,因而月球18.6年交点运动周期内有机会掩蔽它们。
视赤经和视赤纬系以当天真春分点和真赤道为准,章动长周期项和短周期项以及行星光行差都以包括在内,但没有包括太阳引力场引起的光线偏转的影响。视位置由真位置加行星光行差改正得出,其关系式为
α视=α真-0.00577552×Δ×δα δ视=δ真-0.00577552×Δ×δδ
其中Δ为行星的地心距,δα和δδ分别为赤经和赤纬的每日变化。
地心距为行星中心至地心的真距离,不包括光行差的影响。
合日和冲日:外行星或小行星视黄经与太阳视黄经相同的时候称为合日,相差180度的时候叫做冲日。内行星(水星和金星)的合日有上合和下合之分,上合是行星在太阳之后,即太阳在内行星与地球之间,下合是行星在太阳之前,即行星在太阳与地球之间,上合的时候,行星是顺行,即行星由西向东移动,下合时是逆行,即行星由东向西移动。行星相邻两次合日(或冲日)的平均间隔称为会和周期,根据行星的平均运动得出行星的会和周期如下:
水星 115.88日 土 星 378.09日 金星 583.92日 天王星 369.66日 火星 779.94日 海王星 367.48日 木星 398.88日 冥王星 366.72日
由于轨道偏心率和摄动的影响,实际间隔与会和周期有一定的差异。
留:由于地球和行星绕日运动时运行速度和相对位置的不同,行星在天空的视运动有时顺行(自西向东),有时逆行。顺行和逆行之间有一个时刻行星看来是停留不动的,这叫做留。顺行而留,留后逆行叫做顺留;逆行而留,留后顺行叫做逆留。内行星发生在上合日以后,外行星发生在冲日以后。
东大距和西大距:外行星对太阳的角距可以为任何数值,在180度时为冲日。而内行星由于轨道是在地球轨道内侧,所以从地球上看,它们对太阳的角距不能超过某种限度,并且没有冲日现象。内行星在太阳之东(或西)的最大角距称为东(或西)大距。水星在下合日前后约20天达东大距或西大距,由于水星轨道偏心率比较大,最大角距变化在18度~28度之间。金星在下合日前后70天左右达东西大距,角距约为46度~48度。内行星发生的天象其循环总是这样:下合-留-西大距-上合-东大距-留-下合。
方照:对外行星而言,行星视黄经超过太阳视黄经90度和270度时为方照,在太阳以东90度时称为东方照,在太阳以西90度时为西方照。
距角:是自地球看行星与太阳之间的角度,从太阳向东或向西计算,由0°至180°,但由于行星轨道与黄道有一定的倾斜,行星合日和冲日时,距角不一定恰好是0°或180°。 距角E是用下式计算: cosE=(R²+△²-r²)/2R△ 其中R和r分别是地球和行星的日心向径,△是行星的地心距离。
金星最亮:从地球看金星,也像月球一样有盈亏晦明现象。金星约在下合日前后36天,或东大距之后西大距之前35天为最亮。金星的会合周期约为584天,所以它的最亮日期有时全年都没有,有时一年有两次。 关于金星的亮度计算采用下列公式计算: m=-4.47+5lgrΔ+0.0103i+0.000057i²+0.00000013i³,2.2<i<163.6; 0.98+5lgrΔ-0.0102i,163.6<i<170.2。 i以“度”为单位,r、Δ以“天文单位”为单位。 位相角采用下列公式计算: 设L与B表示其日心的、l与b表示其地心的黄经与黄纬,θ表示太阳的黄经,且将其黄纬略而不计。设在太阳一地球一行星三点所组成的平面三角形内,以σ表示地球所在的角,σ'表示太阳所在的角,则 cosσ=cos(θ-l)cosb cosσ'=-cos(θ-L)cosB i=180-(σ-σ') σ角是地面观测者所看的行星对于太阳的距角,常小于直角;σ'角在一或二象限内,按其余弦的符号而决定。
火星最近地球:火星在一回合周期里,有一次距离地球最近,发生在冲日附近。2025年1月12日21时37分,火星最近地球。
过近日点和过远日点:假使不考虑摄动影响,行星的轨道为一椭圆,而太阳在其焦点上,行星在轨道上离太阳最近的一点,称为近日点,最远的一点称为远日点。所列过近日点和过远日点日期是行星向径为极小或极大的日期,也就是已经考虑摄动的影响,这与由平均轨道根数近日点黄经等于0度或180度的日期稍有不同。
行星纬度最南最北:是日心黄纬最南、最北的时刻,最北时黄纬为正,最南时黄纬为负。
仙后座RZ星(HIP 13133)是仙后座中的一颗恒星,以食变星闻名。学名为RZ Cassiopeiae(缩写为RZ Cas)。1906年被发现。它的变化周期仅为1.1953天。亮度在6.18等至7.72等之间变化。由于它的快速变暗和变亮变化以及可以用双筒望远镜轻松观察到其亮度,因此它在天文爱好者中很受欢迎! 仙后座RZ星在阁道一(仙后座ι星)附近。通过连接阁道三(仙后座δ星)和阁道二(仙后座ε星,是“W”最左边的恒星)而在仙后座ε星方向上以相同的长度寻找4.5等星就是仙后座ι星。一旦找到了仙后座ι,您就可以使用外部链接星图轻松找到仙后座RZ。它位于银经132.89、银纬9.07,其B1900.0坐标为赤经α2h39m54.1s、赤纬δ+69°9.07′49″。
预报的时间同时适用于所有东八时区(UTC+08:00)的地方,包括:中国、蒙古、菲律宾、新加坡、马来西亚、文莱、西澳大利亚。
1、《2025年中国天文年历》科学出版社,ISBN: 9787030770585 2、《十年袖珍月历 2025-2034年》气象出版社,ISBN: 9787502981570 3、李广宇、张培瑜著《PMOE2003行星历表框架》,《紫金山天文台台刊》第22卷,3~4期(2003年12月) 4、《大众万年历 1901-2050年》1994年10月第2版,上海科学技术出版社 5、有趣天文奇观
欢迎关注本站公众号
实时获取最新咨询
移动端首页 | PC端
免责声明:本站资料来自网络和网友分享,如有侵权请联系本站
Email:wlcz_8@163.com 站长QQ:17893691
2026© by Qi Mobile Web
数据来源:中国科学院紫金山天文台
资料整理:杨旸、高良超、ZY-LunarCrater
时刻系东经120度标准时(北京时间)
天象包括行星天象(合日、冲日、凌日、大距、行星最小角距、地球过远近日点、升降交点、纬度最南最北,以及行星相合、行星合恒星等),月相,月球过远近地点、月掩行星和恒星,变星,日月食,二分二至,彗星,流星雨,月闪等诸多天文事件。
2025年2月12日为农历乙巳年正月(zhēng yuè)十五,是习俗上的元宵节。元宵节节庆中,包括灯会、平溪天灯、台东炸寒单、台南盐水蜂炮及各地传统庆祝仪式等系列活动在各地举办着。农历正月十五的望发生于2月12日21时53分。
2月份入夜后,木星及火星见于天顶附近天空;土星上半月见于西偏南附近低空;金星上半夜见于西方附近低空。
晚间20时过后,东北方大熊座的北斗七星完全升起,与西北方的仙后座“W”5星,对映着正北方的“北极星”。详看北极星的右下侧,可见到与其一起计有7颗星星排列成小北斗的型态,这就是小熊座。小熊座中第2亮的β星,中国古代称为“帝星”,现今称为“北极二”,因岁差之故,在两三千年前较为接近天北极,所以是当时的北极星。冬夜星座的明暗分布及排列形状是较容易辨识的,民众夜间若见到户外的夜空晴朗,不妨出门至视野好且安全的地方,利用手机下载星图软体,抬头试着辨认星空,其中最为容易辨识的就是猎户座,还有环绕其周边的冬季亮星及星座。
春季认星歌
春风送暖学认星,北斗高悬柄指东,
斗口两星指北极,找到北极方向清。
狮子横卧春夜空,轩辕十四一等星,
牧夫大角沿斗柄,星光点点照航程。
(取自台北市立天文科学教育馆)
太阳系天体动态
太阳: 由摩羯座运行至宝瓶座。3日22时10分立春,18日18时07分雨水。4日六九,13日七九,22日八九。太阳活动第25周期预测在2024年4月至2025年2月之间来到极大期。
水星: 由摩羯座经宝瓶座移至双鱼座,顺行。9日上合,水星在太阳背后不可见。视星等-1.0→-1.6→-1.1等,视直径4.8”→6.0”。
金星: 在双鱼座顺行,28日留(视赤经00.49h),转为逆行。15日金星最大亮度(-4.9等),日没后可见于西方附近天空。上、下半月分别约于夜晚21、20时没入西方地平。视星等-4.8→-4.9→-4.8等,视直径32.0”→48.0”。
火星: 在双子座逆行,24日留(视赤经07.26h),转为顺行。日没后可见于东偏北附近天空。上、下半月分别于凌晨4-5、3-4时没入西北方地平。视星等-1.1→-0.3等,视直径13.7”→11.0”。
木星: 在金牛座,4日留(视赤经04.65h)之前逆行,之后转为顺行。日没后可见于天顶附近天空。上、下半月分别约于凌晨2时、1时没入西方地平。视星等-2.5→-2.3等,视直径43.4”→39.7”。
土星: 在宝瓶座顺行。日没后可见于西偏南附近低空。上、下半月分别于夜晚19-20时、18-19时没入西方地平。视星等+1.1等,视直径16.0”→15.7”。
天王星: 在白羊座顺行。12日东方照,日没后可见于西方。视星等+5.7→+5.8等,视直径3.6”。
海王星: 在双鱼座顺行。日没后可见于西南方。视星等+7.9→+8.0等,视直径2.2”。
明亮彗星
Magnitude au: 2025/2/1
3D-A/Biela 12.7
21P/Giacobini-Zinner 12.1
P/2010 H2 (Vales) 13.0
C/2023 A3 (Tsuchinshan-ATLAS) 12.2
C/2024 G3 (ATLAS) 8.2
Magnitude au: 2025/2/15
21P/Giacobini-Zinner 11.5
P/2010 H2 (Vales) 12.8
C/2023 A3 (Tsuchinshan-ATLAS) 12.5
C/2024 G3 (ATLAS) 10.4
Tsuchinshan是“紫金山”的威妥玛拼音。
在彗星的正式编号中,位于“/”之前的字母分别为:“P”表示周期彗星,“C”表示非周期彗星,“I”表示星际彗星,“D”表示已无法找到或已解体的彗星,“X”表示无法准确计算彗星轨道(通常适用于历史上较早发现的彗星),最后“A”表示误认为彗星的小行星。
天象预报
2025/2/1 白昼月掩土星 ★
2025年2月1日12:52土星合月(视赤经23h16m49s),地心所见土星在月球以南仅1.09度。如此近的距离,在中国(除南海)、日本、俄罗斯部分地区发生白昼月掩土星。约11时暗缘掩入,12时亮缘复出,土星会在月球南端附近被遮住。这次和太阳的夹角只有35度,白天通过天文望远镜看到的土星非常淡,需提前瞄准土星。请抓住这次机会,下一次白昼月掩土星要等到2031年。
现象 北京时间 地理经度 地理纬度
掩始 10:37:44.0 90.83209 21.22971
掩甚 12:00:50.7 104.49758 55.2686
掩终 13:23:47.0 -161.44807 75.90315
掩星时长63分05秒,掩带宽13661.7公里
Saturn = 土星
2025/2/1 金星、蛾眉月、土星垂直排列 + 海王星和金星最接近 ★★★★
2月1日(农历正月初四)傍晚,请看西方低空,可以看到月龄3的蛾眉月。月球下方有距离约3度的土星。因为中午刚发生了白昼月掩土星,所以间隔比较窄。上方距离月球约8度的地方有颗明亮的金星。这天也是海王星和金星最接近(最小角距)的时候,海王星在金星以南约3度。这是以金星为线索找到海王星的机会,但因为星等差高达12.5等(亮度差约10万倍),所以似乎很难一起观察。金星、蛾眉月、土星垂直排列,如此美景可别错过哦!
“蛾眉月”还是“娥眉月”?
蛾眉,指夜间雄蚕蛾的触须细长而弯曲。蒋骥注:“蛾眉,眉之纤曲如蛾也。”蛾眉弯弯,像月亮。
南朝宋·鲍照《玩月城西门廨中》诗:蛾眉蔽珠栊,玉钩隔绮窗。
南朝梁·何逊《七召》:俄而夕鹜东返,落日西悬,绮霞映水,蛾月生天。
唐·窦弘余《广谪仙怨·胡尘犯阙冲关》词:独望天边初月,蛾眉犹自弯弯。
宋·释文珦《初三夜月》诗:新月似蛾眉,娟娟止片时。
清·纳兰性德《点绛唇·一种蛾眉》词:一种蛾眉,下弦不似初弦好。
今所见早期古代典籍如《诗经》《楚辞》俱作“蛾眉”。故此,苏教版小学科学课本上的“蛾眉月”是正确的。中国天文学会天文学名词审定委员会公布的(全国统一)标准名词沿用的就是自然界的蛾眉月,而不是女性化的“娥眉月”。
“合”与“最小角距”不一样
“合”是两星赤经或黄经同度。有两种情况:(1)凡称行星合月或合恒星或合他行星,皆指地心视赤经相合而言。(2)惟行星合日(行星与太阳相合)则用地心视黄经,冲亦如之。内行星(即水星、金星)合日有上下之分,“上合”乃行星见于太阳后方,即太阳居地球与行星之间;“下合”乃行星见于太阳前方,即行星居太阳与地球之间。行星与太阳黄经相合时,地心所见行星与太阳的黄纬差如果是正数,就是在太阳的北面;如果是负数就是在太阳的南面。(合日时行星接近太阳,白天不易看见。)
两星赤经相合的发生时刻并不是两颗行星最接近的时间,公众最有兴趣的其实是“最小角距”(appulse),即是两颗星最接近的时间。“最小角距”是视觉上两个天体近距离接近,只是视觉效果,并非涉及的两颗天体在太空中真正的接近。
说行星合行星=两星接近,如果不求精密,这是可以的。但要精密计算,两星相合与“最小角距”的意义便不能混淆。例如2025年2月4日03:53海王星合金星(视赤经23h54m51.8s),地心所见海王星在金星以南3.96度的地方,此时两星视赤经经度相同,但不是最接近(最小角距)的时间。
2025/2/2 金星合月 ★★★★
2月2日04:27金星合月(视赤经23h49m48s),地心所见金星在月球以北2.35度的地方。
从2月2日(农历正月初五)傍晚开始,在夜晚、西南偏西的低空可以看到月龄4的蛾眉月和金星接近。在弯弯的蛾眉月和明亮的金星之下还可以看到土星。伴随着梦幻般的眉月和夜晚的金星的共演,在几个行星和月亮的接近中也是最美的。金星此后将朝着3月21日的下合,高度开始下降。虽然下个月也能看到这两个天体的接近,但是如果天气晴好的话,就这个月看吧。试着用肉眼或双筒望远镜眺望,或者拍成照片吧!
2025/2/3 立春 ★
2025年2月3日22时10分28秒立春,太阳视黄经315度,太阳视赤纬-16°20′08″。
公历日期 时刻 节气 候次 年候次 干支 太阳视黄经 候应 二十四番花信风
2025/02/03 22:10:28 立春 初候 1候 癸卯 315° 一候 东风解冻 七番 迎春
2025/02/08 20:35:06 立春 次候 2候 戊申 320° 二候 蛰虫始振 八番 樱桃
2025/02/13 19:14:04 立春 末候 3候 癸丑 325° 三候 鱼陟负冰 九番 望春
2025/2/5 月面X浮现 ★
上弦月的时候,在月面的缺口处可以看到像字母“X”一样的地形。这种现象就是“月面X”,从附近的维尔纳(Werner)撞击坑的名字来看,在国外被称为“WernerX”或“LunarX”。月面X似乎很早就被看到了,2004年由加拿大的Chapman等人报告后,变得广为人知。月面X并不是每次上弦都能看到的。因为持续时间只有1小时左右,所以机会难得。
2025年2月5日16:23月面X浮现。17:10~19:30左右为观察时间。月面X的地理基准点经纬度坐标为0.9°E、25.3°S,月面余经度(selenographic colongitude)为358°。这是只有在特别的日子的有限时间才能看到的现象。但是,不借助小型天文望远镜的话就看不到。另外,今年是观察月面x的一年,4月5日、6月3日、8月1日、11月27日也能看到。
2025年2月5日17时10分许 日没时
2025年4月5日21时50分许 好条件
2025年6月3日22时20分许 好条件
2025年8月1日19时50分许 好条件
2025年9月29日17时50分许 日没时
2025年11月27日19时45分许 好条件
2026年2月24日16时30分许 日没时
2025/2/5 月掩左更增七
2月5日20时前后,月掩左更增七(白羊座ε星,4.7等)。掩始现象:恒星由月球暗缘掩入。可用小型天文望远镜追踪观测。左更增七是一个位于白羊座的联星系统,距离地球约293光年。
现象 北京时间 地理经度 地理纬度
掩始 17:29:10 47.92124 -25.58464
掩甚 19:36:21 98.63328 12.01493
掩终 21:43:34 157.6740 10.96528
掩星时长90分42秒,掩带宽3524.8公里
R440 = epsilon Arietis = 左更增七
2025/2/7 木星合月
2月7日11:35木星合月(视赤经4h39m14s),地心所见木星在月球以南5.49度的地方。
入夜后20点左右,可在天空中很高的位置看到。虽说接近,但这次间隔了7.5度,条件差到不知道要不要作为天象来介绍。木星在盈凸月下方。金牛座的一等星毕宿五也在距离木星5度多的地方可以看到。下一次木星合月在3月6日。
2025/2/8 半人马座α流星雨极大期(ZHR~6)
往年,2月没有捕捉到明显的流星雨活动。但是,目视观测中最近有一些小流星雨活动,其结构非常有趣。半人马座α流星雨(alpha Centaurids,00102 ACE)在1974年和1980年曾观测到突然出现,近年来在2015年也有报告。不过,由于辐射点位置偏南,在赤纬-58度,因此我国大部分地区的辐射点都没有上升,活动水平也不高。今年受到月光影响,条件极差,不推荐观赏。
2025/2/9 火星和月球倾斜排列 ★★
2月9日晚上,火星和月球在双子座倾斜排列。仰望天空,有一个月龄11、满月前的盈凸月。在月球左下方,你会发现红色发光的火星。上个月离地球最近的火星,亮度为-0.8等,很早就开始变暗了。下个月接近的时候亮度会下降到接近0等,所以明亮的火星和月球的接近请在这个月好好观赏。如果在2月9日傍晚和10日凌晨进行比较,可以看出2个天体的间隔在变小。
2025/2/10 月掩天樽增三
2月10日0时50分前后,月掩天樽增三(双子座47,5.8等)。掩始现象:恒星由月球暗缘掩入。可用小型天文望远镜追踪观测。天樽增三是双子座的一颗可能的脉动变星,在没有固定振幅或周期性的情况下变化。它距离我们大约390光年。
现象 北京时间 地理经度 地理纬度
掩始 22:07:46 9.53830 29.82258
掩甚 00:07:00 95.57082 58.91168
掩终 02:06:17 154.0688 14.44947
掩星时长72分40秒,掩带宽4115.0公里
R1088 = 47 Geminorum = 天樽增三
2025/2/10 月掩火星 ★
2025年2月10日03:36火星合月(视赤经7h21m52s),地心所见火星在月球以南仅0.78度。中国、西伯利亚等地在凌晨即将月落之前可以看到月掩火星。火星从月球暗缘掩入。实际上,只能在月落较晚的北部地区和西部地区的一部分能观测到。虽然写了“可以看到月掩火星”,但高度非常低,受到大气影响,条件很糟糕,观察极其困难吧。
月落之前,在西方低空无云、无高楼、无高山遮挡的地方,使用天文望远镜,能看到红色的火星被月球遮住的天文奇观吗?
现象 北京时间 地理经度 地理纬度
掩始 02:09:40.1 -59.04226 42.68033
掩甚 03:50:02.7 70.65834 77.38088
掩终 05:30:29.4 111.75935 26.40411
掩星时长59分31秒,掩带宽5870.9公里
Mars = 火星
2025/2/12 天王星东方照 ★
2025年2月12日03:30天王星东方照,视星等+5.7等,视直径3.6”。东方照是指行星来到距离太阳东侧90度的位置。东方照是外行星的观测期所剩无几的标志。日落后的高度变低,容易受到大气的影响。天王星不断接近太阳,观测条件将逐渐恶化。
2025/2/13 海后星冲日 ★
2025年2月13日03:10小行星29号海后星冲日。此时距离地球1.541天文单位,视星等+9.2等,位于狮子座。晚上大部分时间都在地平线上。海后星是一个肉眼看不到的小天体,需要中等口径的天文望远镜。
海后星(29 Amphitrite)是小行星带中最大的S-型小行星之一,直径约212.2公里,可能是继司法星、婚神星、虹神星和大力神星之后的第五大小行星。
海后星的公转周期约1491.013天,轨道比其他较大的小行星更接近圆形,倾斜度也较小。它是迄今为止发现的所有小行星中轨道最圆的。正因如此,海后星的亮度从未像虹神星或韶神星那样明亮,尤其是因为它比这些小行星离太阳更远。在有利的冲日条件下,海后星的星等可达到+8.6等左右,但通常接近双筒望远镜的可见极限,约为+9.5等。
2025/2/15 金星第一次最大亮度(-4.9等)★★★★★
2025年2月15日7时金星第一次最大亮度(-4.9等,视直径39.2″)。傍晚可见。金星最大亮度发生在东大距约1个月后和西大距约1个月前。今年的1月10日发生了东大距,所以这次是前者。根据金星发光面积和地球与金星的距离的关系,变成月牙形的时候最明亮。因为其亮度达到-4.9等,所以说是异样的亮度也不为过。如果把金星比作一等星,那么普通的一等星只有六等星左右。你能明白金星有多么明亮了吧?
将星球的亮度分成等级用来表示恒星亮度的相对大小,就称为星等,到1850年英国天文家扑逊(Pogson)加以订定标准,规定每一星等的光度差是2.512倍。比1等星还亮的星是0等。再亮的,则用负数表示,如-1、-2、-3等。为什么天文家要用2.512做光度差等级呢?原来1等星的光度约为6等星的100倍,100的5次方根为2.512,即(2.512)⁵=100。
当听说这次金星的亮度是-4.9等,有人会说:“哎呀?小数点第二位四舍五入的话,-4.7等是最大的,所以-4.9等是第一次听说。”实际上光度计算公式被变更了,用新的计算公式计算的话,就会变成这样。所以和以前相比,金星并没有突然变亮。只是有人觉得不太习惯。
2025/2/17 月掩角宿一
2025年2月17日20:46角宿一合月(视赤经13h26m32s),地心所见角宿一在月球以北仅0.33度。月球将从角宿一前面经过,形成一次月球掩星,在大洋洲包括贝克岛、豪兰岛、贾维斯岛、金曼礁、帕尔米拉环礁和托克劳群岛可以看到。我国不可见。
2025/2/18 小行星苏珊娜掩星(极好)
小行星在背景星空中移动时,有时会遮掩远方的恒星,这种现象就是小行星掩星。北京时间2025年2月18日(星期二)凌晨0时19分左右,推定直径约43.5公里、0.03角秒,视星等14.2等小行星苏珊娜(542)Susanna掩双子座7.7等恒星HIP 36771(J2000.0坐标:赤经α07h33m47.380s,赤纬δ+13°24’27.67”),最长见掩时长4.3秒,减光(亮度下降)6.5等,距离月球93度。须提前熟悉观测目标,使用指向定位良好的赤道仪,并配合口径20公分(8吋)以上天文望远镜计时观测,误差勿超过0.5秒。
HIP 36771是一颗黄色中等温度的恒星。HIP 36771在地球上用肉眼是看不到的,它太远太暗了,你需要一个天文望远镜来观察它。HIP 36771与地球的距离约为340.11光年或123.76秒差距。
掩带经过越南河内;中国南沙礼乐滩、西沙中建岛,海南岛中灶村、利国镇、秦标村、黄流镇、莺歌海镇、佛罗镇,云南省屏边苗族自治县、蒙自市、开远市、通海县、峨山彝族自治县、玉溪市、易门县、楚雄市、南华县、牟定县、宾川县、鹤庆县、剑川县、维西傈僳族自治县、贡山独龙族怒族自治县,西藏自治区察隅县、巴青县,新疆维吾尔自治区沙雅县、新和县。
掩星详情:
https://www.bedekkingen.vvs.be/predictions/asteroids2025/PDF/A25_02076.pdf
https://cloud.occultwatcher.net/event/1508-542-107259-648839-H36771
2025/2/18 雨水 ★
2025年2月18日18时06分34秒雨水,太阳视黄经330度,太阳视赤纬-11°28′18″。
公历日期 时刻 节气 候次 年候次 干支 太阳视黄经 候应 二十四番花信风
2025/02/18 18:06:34 雨水 初候 4候 戊午 330° 一候 獭祭鱼 十番 菜花
2025/02/23 17:11:32 雨水 次候 5候 癸亥 335° 二候 鸿雁来 十一番 杏花
2025/02/28 16:30:32 雨水 末候 6候 戊辰 340° 三候 草木萌动 十二番 李花
2025/2/21 月掩心宿二
2025年2月21日17:02心宿二合月(视赤经16h30m57s),地心所见心宿二在月球以北仅0.44度的地方。如此近的距离,月球将从心宿二前面经过,形成一次月掩星,在南美洲包括阿根廷、智利、乌拉圭和福克兰群岛等国家和地区可以看到。我国不可见。
2025/2/23 P/2013 R3 (Catalina-PANSTARRS)彗星从天街增二与天街增三之间穿过
2月23日日落后至深夜,透过口径20cm以上的天文望远镜可以观测到卡塔琳娜-泛星彗星P/2013 R3 (Catalina-PANSTARRS)和它的P/2013 R3-A核、P/2013 R3-B核,从金牛座的天街增二与天街增三之间穿过。亮度16等,有条件的天文爱好者可以看看。
2025/2/24 火星留,转为顺行
2025年2月24日17:35火星留(视赤经07.26h),之后转为顺行。以前是相对于星座由东向西移动的逆行,但留之后会回到由西向东移动的顺行。火星距离地球最近的1月12日的距离为0.642AU,但现在已经远到了0.827AU。也就是说,短时间内就疏远了29%。随之视直径从14.58角秒到11.33角秒,亮度从-1.4等到-0.4等,变得模糊了。之后的火星越来越远离地球,从轨道位置上看,以2026年1月10日的合日为目标,正在接近太阳。
2025/2/25 水星和土星接近 ★
2025年2月26日05:27土星合水星(视赤经23h27m24s),地心所见土星在水星以南1.65度的地方。
在前一天的25日傍晚的西方低空,可见水星和土星接近。水星的亮度是-1.2等,土星是+1.1等。接近间隔很窄,似乎是个好条件,但中间的光线很强,又位于低空,肉眼很难看到吧。建议使用双筒望远镜。
2025/2/27 小行星查里斯掩星(好条件)
小行星在背景星空中移动时,有时会遮掩远方的恒星,这种现象就是小行星掩星。北京时间2025年2月27日(星期四)凌晨0时08分左右,推定直径约51公里、0.03角秒,视星等15.3等小行星查里斯(627)Charis掩猎户座8.3等恒星HIP 28312(J2000.0坐标:赤经α05h58m57.181s,赤纬δ+18°58’46.27”),最长见掩时长9.2秒,减光(亮度下降)7.0等,月球在地平线下。须提前熟悉观测目标,使用指向定位良好的赤道仪,并配合口径20公分(8吋)以上天文望远镜计时观测,误差勿超过0.5秒。
HIP 28312是一颗黄色中等温度的恒星。HIP 28312不能用肉眼看到,你需要一个天文望远镜来观察它。HIP 28312与地球的距离约为231.98光年或74.07秒差距。
掩星详情:
https://www.bedekkingen.vvs.be/predictions/asteroids2025/PDF/A25_02083.pdf
https://cloud.occultwatcher.net/event/1517-627-84928-649193-H28312
2025/2/28 藏历新年
2025年2月28日(星期五)是藏历新年,藏历木蛇年一月初一(藏历无“正月”一说)。藏历新年也叫“洛萨”,是藏族人民的传统节日。但藏历年的推算法与中国传统农历春节有差异。总体看来藏历新年与农历春节的时间关系有三种:同一天、相差一天、相差三十天。藏历新年庆祝时间为藏历一月初一至十五日,2025年藏历新年时间为公历2月28日至3月2日。参考《西藏天文气象历书》。
详细天象
2025/02/01 00:13 仙后座RZ星极小(大陵五型食变星)
2025/02/01 12:52 土星合月,土星在月球以南1.09度(白昼月掩土星,约11时暗缘掩入,12时亮缘复出,中国、日本可见)(瞬时中天经度:144.444863)
2025/02/02 01h 249P/LINEAR林尼尔53号彗星通过近日点(周期4.6年)
2025/02/02 04:27 金星合月,金星在月球以北2.35度(瞬时中天经度:-81.58411183)
2025/02/02 06:45 海王星合月,海王星在月球以南1.42度(月掩海王星,西伯利亚可见)(瞬时中天经度:-115.0925089)
2025/02/02 08:38 月球过天赤道,进入北半球
2025/02/02 10:47 月球过近地点,36万7457km,视直径32.5′
2025/02/02 22h 小行星灶神星与室女座μ星亢宿增七最接近(01°31′)
2025/02/02 23h C/2023 F3 (ATLAS)阿特拉斯彗星通过近日点
2025/02/03 02h 木星与毕宿星团(Mel 25)最接近(05°01′)
2025/02/03 22:10 立春,太阳视黄经315度
2025/02/04 03h 236P/LINEAR林尼尔39号彗星通过近日点(周期7.2年)
2025/02/04 03:53 海王星合金星,海王星在金星以南3.96度
2025/02/04 21:07 木星留(视赤经04.65h),转为顺行
2025/02/05 长蛇座S星极大(米拉变星,7.2~13.3等,周期257日)
2025/02/05 04:18 天秤座δ星氐宿增一极小(大陵五型食变星)
2025/02/05 16:02 上弦
2025/02/05 16:23 月面X浮现
2025/02/05 18:58 仙后座RZ星极小(大陵五型食变星)
2025/02/06 巨蟹座W星极大(7.4~15.1等,周期393日)
2025/02/06 00:47 英仙座β星大陵五极小(大陵五型食变星原型,2.1~3.4等,变光周期2.87日)
2025/02/06 05:12 天王星合月,天王星在月球以南4.70度(瞬时中天经度:-43.24558886)
2025/02/06 23:39 仙后座RZ星极小(大陵五型食变星)
2025/02/07 鹿豹座T星极大(7.3~14.4等,周期373日)
2025/02/07 11:35 木星合月,木星在月球以南5.49度(瞬时中天经度:-121.4935413)
2025/02/08 半人马座α流星雨极大期(ZHR~6)
2025/02/08 大熊座S星极大(7.1~12.7等,周期226日)
2025/02/08 04:21 仙后座RZ星极小(大陵五型食变星)
2025/02/08 18:30 月球视赤纬最北(δ+28°36.5′)
2025/02/08 21:36 英仙座β星大陵五极小(大陵五型食变星原型,2.1~3.4等,变光周期2.87日)
2025/02/09 04h 水星日心黄纬最南,日心黄纬-7.0°
2025/02/09 20:08 水星上合日
2025/02/09 23:24 金牛座λ星毕宿八极小(大陵五型食变星)
2025/02/10 白羊座U星极大(米拉变星,7.2~15.8等,周期371日)
2025/02/10 03:36 火星合月,火星在月球以南0.78度(中国、西伯利亚等地可见月掩火星)(瞬时中天经度:36.32414029)
2025/02/10 12h C/2024 G7 (ATLAS)阿特拉斯彗星通过近日点
2025/02/10 13:58 北河三合月,北河三在月球以北2.07度
2025/02/11 18:24 仙后座RZ星极小(大陵五型食变星)
2025/02/11 18:26 英仙座β星大陵五极小(大陵五型食变星原型,2.1~3.4等,变光周期2.87日)
2025/02/12 03:30 天王星东方照(亮度5.7等,视直径3.6”)
2025/02/12 03:52 天秤座δ星氐宿增一极小(大陵五型食变星)
2025/02/12 21:53 望(满月)
2025/02/12 23:06 仙后座RZ星极小(大陵五型食变星)
2025/02/13 08:02 轩辕十四合月,轩辕十四在月球以南2.13度
2025/02/13 22:16 金牛座λ星毕宿八极小(大陵五型食变星)
2025/02/14 飞马座Z星极大(7.3~13.6等,周期320日)
2025/02/14 03:47 仙后座RZ星极小(大陵五型食变星)
2025/02/15 07h 金星最大亮度(-4.9等,视直径39.2″)
2025/02/15 17h 497P/Spacewatch-PanSTARRS太空观察-泛星彗星通过近日点(周期13.3年)
2025/02/15 18:54 月球过天赤道,进入南半球
2025/02/17 17:51 仙后座RZ星极小(大陵五型食变星)
2025/02/17 20:46 角宿一合月,角宿一在月球以北0.33度
2025/02/17 21:09 金牛座λ星毕宿八极小(大陵五型食变星)
2025/02/18 09:10 月球过远地点,40万4882km,视直径29.5′
2025/02/18 18:07 雨水,太阳视黄经330度
2025/02/18 22:32 仙后座RZ星极小(大陵五型食变星)
2025/02/19 03:25 天秤座δ星氐宿增一极小(大陵五型食变星)
2025/02/20 天兔座T星极大(7.4~14.3等,周期372日)
2025/02/20 03:13 仙后座RZ星极小(大陵五型食变星)
2025/02/20 03:53 金星过近日点,距离太阳0.718AU
2025/02/21 半人马座T星极大(半规则变星,5.6~8.4等,周期181日)
2025/02/21 01:32 下弦
2025/02/21 17:02 心宿二合月,心宿二在月球以北0.44度
2025/02/21 20:02 金牛座λ星毕宿八极小(大陵五型食变星)
2025/02/22 04:42 天琴座β星渐台二极小(渐台二型食变星原型)
2025/02/23 06:24 月球视赤纬最南(δ-28°41.0′)
2025/02/23 17:17 仙后座RZ星极小(大陵五型食变星)
2025/02/24 室女座R星极大(米拉变星,6.1~12.1等,周期146日)
2025/02/24 11h P/2023 S1彗星通过近日点(周期7.5年)
2025/02/24 17:35 火星留(视赤经07.26h),转为顺行
2025/02/24 21:58 仙后座RZ星极小(大陵五型食变星)
2025/02/25 18:55 金牛座λ星毕宿八极小(大陵五型食变星)
2025/02/26 02:40 仙后座RZ星极小(大陵五型食变星)
2025/02/26 02:58 天秤座δ星氐宿增一极小(大陵五型食变星)
2025/02/26 05:27 水星合土星,水星在土星以北1.65度
2025/02/28 藏历新年,藏历木蛇年一月初一(藏历无“正月”一说),参考《西藏天文气象历书》
2025/02/28 武仙座W星极大(7.6~14.4等,周期280日)
2025/02/28 06h 水星过升交点,日心黄纬0.0°
2025/02/28 08:45 朔(新月)
2025/02/28 11:27 金星留(视赤经00.49h),转为逆行
2025/02/28 23:22 英仙座β星大陵五极小(大陵五型食变星原型,2.1~3.4等,变光周期2.87日)
木星大红斑居中时间
2025/2/1 00:26
2025/2/1 10:22
2025/2/1 20:18
2025/2/2 06:13
2025/2/2 16:09
2025/2/3 02:04
2025/2/3 12:00
2025/2/3 21:56
2025/2/4 07:51
2025/2/4 17:47
2025/2/5 03:42
2025/2/5 13:38
2025/2/5 23:33
2025/2/6 09:29
2025/2/6 19:25
2025/2/7 05:20
2025/2/7 15:16
2025/2/8 01:11
2025/2/8 11:07
2025/2/8 21:03
2025/2/9 06:58
2025/2/9 16:54
2025/2/10 02:49
2025/2/10 12:45
2025/2/10 22:40
2025/2/11 08:36
2025/2/11 18:32
2025/2/12 04:27
2025/2/12 14:23
2025/2/13 00:18
2025/2/13 10:14
2025/2/13 20:10
2025/2/14 06:05
2025/2/14 16:01
2025/2/15 01:56
2025/2/15 11:52
2025/2/15 21:47
2025/2/16 07:43
2025/2/16 17:39
2025/2/17 03:34
2025/2/17 13:30
2025/2/17 23:25
2025/2/18 09:21
2025/2/18 19:17
2025/2/19 05:12
2025/2/19 15:08
2025/2/20 01:03
2025/2/20 10:59
2025/2/20 20:54
2025/2/21 06:50
2025/2/21 16:46
2025/2/22 02:41
2025/2/22 12:37
2025/2/22 22:32
2025/2/23 08:28
2025/2/23 18:24
2025/2/24 04:19
2025/2/24 14:15
2025/2/25 00:10
2025/2/25 10:06
2025/2/25 20:01
2025/2/26 05:57
2025/2/26 15:53
2025/2/27 01:48
2025/2/27 11:44
2025/2/27 21:39
2025/2/28 07:35
2025/2/28 17:31
(木星大红斑居中时间,转自:https://mp.weixin.qq.com/s/3yahZewhlVVehdHRqIa-SA 作者:杭州市天文学会秦鸿翼)
说明
注1:凡称行星合月、恒星合月、行星合恒星、行星合行星,皆指地心视赤经相同;惟合日、冲日则用地心视黄经。
注2:瞬时中天经度是指行星合月与恒星合月、行星合恒星与行星合行星时,由北极向南极的同一地理经度都能同时看到它们相合时的瞬时中天(纬度不必考虑)。例如2025年2月1日12:52土星合月(视赤经合),地处东经144.4度经线上可以看到它们同时到达中天。中天即是当地的视子午线。详见紫金山天文台官方微信说明。
注3:部分天象(彗星、流星雨、变星等)由于误差原因,无法(也不可能)精确到分钟(min)。
天象载太阳、月球和行星的动态以及其他天文现象,包括:
(1)行星的地心天象(冲日、合日、方照、留、内行星东西大距以及金星最亮、火星最近地球等)和日心天象(过近日点和远日点、纬度最北和最南、过升交点和过降交点等);
(2)日月食概况;
(3)朔、望、两弦,月球过近地点和远地点;
(4)月掩行星或掩四颗亮恒星(毕宿五即金牛座α星、轩辕十四即狮子座α星、角宿一即室女座α星、心宿二即天蝎座α星),行星合月,行星之间以及行星与五颗亮恒星(除上列四颗外,另加北河三即双子座β星)之间相合。掩星和合月如果距离合朔24h之内,即不列出,行星之间相合或行星与恒星相合如果距离太阳10°以内,也不列出。
名词解释
现把各种天象分别说明如下:
天顶每时出现率(Zenithal Hourly Rate,Rate:率,简称ZHR),是天文学专有名词。来自中国天文学会天文学名词审定委员会审定发布的天文学专有名词中文译名。假设辐射点位于仰角90度的天顶,在理想情况下,一个肉眼视力能够看到6.5等星的观测者可以看见的流星数量最多的流量值。实际能看见的会低于此一数值。
ZHR不应该翻译成“每小时天顶流星数”,国际流星组织(IMO)没有“ZHN=Zenith Hourly Number(天顶每小时流星数)”、“ZHF=Zenith Hourly flow quantity(每小时天顶流量)”这一类的词。维基百科和百度百科根据国际流星组织2017年12月21日上架的《2018流星雨日历》中文版开始,将ZHR的中文翻译为“天顶每时出现率”。开源的星空模拟软件Stellarium(虚拟天文馆)亦在最新的24.4版本中更新了zh_CN和zh_HK的翻译。
预报当地可见的流星数(Number),需按照下列公式计算:
其中,N为可见流星数目(颗);Teff为观测时长;K为云量遮盖率(百分比);lm为可见最暗星星的亮度(最佳条件为6.5等,实际需考虑当地光污染因素);hR为流星雨辐射点距地平线的仰角(地平高度);r为亮度指标,r值通常介于2.0(明亮)到3.5(暗淡)之间。
晨昏蒙影(台湾名:曙暮光):日出前和日没后由高空大气散射太阳光引起的天空发亮的现象称为晨昏蒙影;在日出前的叫做晨光,在日没后的叫做昏影。太阳中心在地平下6°时称为民用晨光始或民用昏影终,这时光线暗淡,需要人工照明。太阳中心在地平下18°时称为天文晨光始或天文昏影终,这时天空完全黑暗,可以看到目视最暗的星。
月相是月球环绕地球公转时,地球、月球、太阳之相对位置的变化,地球上的观测者从不同角度看到月球被太阳照亮的部分,造成月相盈亏圆缺之变化。月相盈亏周期平均是29.530588日,历法中之朔望月源于此。
朔、蛾眉月、上弦、盈凸月、望、亏凸月、下弦,残月分别是月球视黄经超过太阳视黄经0、45、90、135、180、225、270、315度的时刻。
阴历是按月球的月相周期来安排的历法,它的一年有12个朔望月,约354或355日。主要根据月球绕地球运行一周时间为一个月,称为朔望月,大约29.530588日,大月有30日、小月有29日。
月龄是指从新月为起始,在一个朔望月周期内,出现各种月相所经历的天数。月龄的数值通常用带一位小数的数字表示,比如月龄7.4是上弦月,月龄14.8是满月,月龄22.2是下弦月。因此月龄和阴历是有关连的,只不过阴历只显示朔望月每日的整数,而月龄是计算月相所经历的天数,为求更加准确,很多时会显示至小数后一个位(甚至几个位)。如果知道确实的月龄,便能推算出当时月球大致的形状、出没时刻及所在方位。
月掩星:月球在天空中每月移动一周,每小时约东移半度多,相当于月球的视角直径。月球移动时常将恒星和行星掩蔽起来,这种现象称为月掩星。观测月掩星可以测定观测者的地理坐标、研究双星、测定太阳视差及月球位置等,是业余天文学家感兴趣的观测项目之一。专业天文学家亦需要仰赖月掩射电源来求出射电源的准确位置。
合月、月掩星、行星间和行星与恒星相合:行星或恒星合月以及行星之间、行星与恒星相合都是指视赤经相合而言。行星在天球上运行的路线以及四颗亮恒星(毕宿五、轩辕十四、角宿一和心宿二)都很接近黄道,因而月球18.6年交点运动周期内有机会掩蔽它们。
视赤经和视赤纬系以当天真春分点和真赤道为准,章动长周期项和短周期项以及行星光行差都以包括在内,但没有包括太阳引力场引起的光线偏转的影响。视位置由真位置加行星光行差改正得出,其关系式为
α视=α真-0.00577552×Δ×δα
δ视=δ真-0.00577552×Δ×δδ
其中Δ为行星的地心距,δα和δδ分别为赤经和赤纬的每日变化。
地心距为行星中心至地心的真距离,不包括光行差的影响。
合日和冲日:外行星或小行星视黄经与太阳视黄经相同的时候称为合日,相差180度的时候叫做冲日。内行星(水星和金星)的合日有上合和下合之分,上合是行星在太阳之后,即太阳在内行星与地球之间,下合是行星在太阳之前,即行星在太阳与地球之间,上合的时候,行星是顺行,即行星由西向东移动,下合时是逆行,即行星由东向西移动。行星相邻两次合日(或冲日)的平均间隔称为会和周期,根据行星的平均运动得出行星的会和周期如下:
水星 115.88日 土 星 378.09日
金星 583.92日 天王星 369.66日
火星 779.94日 海王星 367.48日
木星 398.88日 冥王星 366.72日
由于轨道偏心率和摄动的影响,实际间隔与会和周期有一定的差异。
留:由于地球和行星绕日运动时运行速度和相对位置的不同,行星在天空的视运动有时顺行(自西向东),有时逆行。顺行和逆行之间有一个时刻行星看来是停留不动的,这叫做留。顺行而留,留后逆行叫做顺留;逆行而留,留后顺行叫做逆留。内行星发生在上合日以后,外行星发生在冲日以后。
东大距和西大距:外行星对太阳的角距可以为任何数值,在180度时为冲日。而内行星由于轨道是在地球轨道内侧,所以从地球上看,它们对太阳的角距不能超过某种限度,并且没有冲日现象。内行星在太阳之东(或西)的最大角距称为东(或西)大距。水星在下合日前后约20天达东大距或西大距,由于水星轨道偏心率比较大,最大角距变化在18度~28度之间。金星在下合日前后70天左右达东西大距,角距约为46度~48度。内行星发生的天象其循环总是这样:下合-留-西大距-上合-东大距-留-下合。
方照:对外行星而言,行星视黄经超过太阳视黄经90度和270度时为方照,在太阳以东90度时称为东方照,在太阳以西90度时为西方照。
距角:是自地球看行星与太阳之间的角度,从太阳向东或向西计算,由0°至180°,但由于行星轨道与黄道有一定的倾斜,行星合日和冲日时,距角不一定恰好是0°或180°。
距角E是用下式计算:
cosE=(R²+△²-r²)/2R△
其中R和r分别是地球和行星的日心向径,△是行星的地心距离。
金星最亮:从地球看金星,也像月球一样有盈亏晦明现象。金星约在下合日前后36天,或东大距之后西大距之前35天为最亮。金星的会合周期约为584天,所以它的最亮日期有时全年都没有,有时一年有两次。
关于金星的亮度计算采用下列公式计算:
m=-4.47+5lgrΔ+0.0103i+0.000057i²+0.00000013i³,2.2<i<163.6;
0.98+5lgrΔ-0.0102i,163.6<i<170.2。
i以“度”为单位,r、Δ以“天文单位”为单位。
位相角采用下列公式计算:
设L与B表示其日心的、l与b表示其地心的黄经与黄纬,θ表示太阳的黄经,且将其黄纬略而不计。设在太阳一地球一行星三点所组成的平面三角形内,以σ表示地球所在的角,σ'表示太阳所在的角,则
cosσ=cos(θ-l)cosb
cosσ'=-cos(θ-L)cosB
i=180-(σ-σ')
σ角是地面观测者所看的行星对于太阳的距角,常小于直角;σ'角在一或二象限内,按其余弦的符号而决定。
火星最近地球:火星在一回合周期里,有一次距离地球最近,发生在冲日附近。2025年1月12日21时37分,火星最近地球。
过近日点和过远日点:假使不考虑摄动影响,行星的轨道为一椭圆,而太阳在其焦点上,行星在轨道上离太阳最近的一点,称为近日点,最远的一点称为远日点。所列过近日点和过远日点日期是行星向径为极小或极大的日期,也就是已经考虑摄动的影响,这与由平均轨道根数近日点黄经等于0度或180度的日期稍有不同。
行星纬度最南最北:是日心黄纬最南、最北的时刻,最北时黄纬为正,最南时黄纬为负。
仙后座RZ星(HIP 13133)是仙后座中的一颗恒星,以食变星闻名。学名为RZ Cassiopeiae(缩写为RZ Cas)。1906年被发现。它的变化周期仅为1.1953天。亮度在6.18等至7.72等之间变化。由于它的快速变暗和变亮变化以及可以用双筒望远镜轻松观察到其亮度,因此它在天文爱好者中很受欢迎!
仙后座RZ星在阁道一(仙后座ι星)附近。通过连接阁道三(仙后座δ星)和阁道二(仙后座ε星,是“W”最左边的恒星)而在仙后座ε星方向上以相同的长度寻找4.5等星就是仙后座ι星。一旦找到了仙后座ι,您就可以使用外部链接星图轻松找到仙后座RZ。它位于银经132.89、银纬9.07,其B1900.0坐标为赤经α2h39m54.1s、赤纬δ+69°9.07′49″。
预报的时间同时适用于所有东八时区(UTC+08:00)的地方,包括:中国、蒙古、菲律宾、新加坡、马来西亚、文莱、西澳大利亚。
参考资料
1、《2025年中国天文年历》科学出版社,ISBN: 9787030770585
2、《十年袖珍月历 2025-2034年》气象出版社,ISBN: 9787502981570
3、李广宇、张培瑜著《PMOE2003行星历表框架》,《紫金山天文台台刊》第22卷,3~4期(2003年12月)
4、《大众万年历 1901-2050年》1994年10月第2版,上海科学技术出版社
5、有趣天文奇观