天象包括行星天象(合日、冲日、凌日、大距、行星最接近地球、过远近日点、升降交点、纬度最南最北,以及行星相合、行星合恒星等),月相,月球过远近地点,月掩行星和恒星,变星,日月食,二分二至,彗星,流星雨,月闪等诸多天文事件。
2022年7月4日15时11分,地球通过公转轨道上的远日点,此时距离太阳1亿5209万8454公里,是今年所见到的日面最小的一天,大约比今年1月4日地球通过近日点时所见的日面视直径小了约3.4%。
7月日没后夜幕低垂之时,可见牧夫座α星大角闪烁于天顶附近 ,随后南方天空的室女座角宿一,东北方天空天琴座的织女星,东南方天空天蝎座的心宿二等几颗明亮的一等星,也陆续的在天色渐暗的夜空中现其芳踪。夏季明亮的天蝎人马段银河,也已经横躺在东南方地平之上。
太阳系天体动态
太阳:由双子座运行至巨蟹座。
水星:由金牛座经双子座、巨蟹座移至狮子座,顺行。17日上合,在太阳背后不可见。视星等-0.8→-2.2→-0.7等,视直径5.9”→5.0”→5.2”。
金星:由金牛座移至双子座,顺行,日出前可见于东偏北方附近低空。视星等-3.9→-3.8等,视直径11.8”→10.7”。
火星:由双鱼座移至白羊座,顺行,日出前可见于东方。视星等0.5→0.2等,视直径7.1”→8.2”。
木星:在双鱼座,顺行,29日留后转为逆行,日出前可见于东方。视星等-2.4→-2.7等,视直径40.7”→44.9”。
土星:在摩羯座逆行,日出前可见于西南方。视星等0.6→0.4等,视直径18.1”→18.7”。
天王星:在白羊座顺行,日出前位于东方。视星等5.8等,视直径3.4”→3.5”。
海王星:在双鱼座逆行,日出前位于西南方。视星等7.9→7.8等,视直径2.3”。
矮行星冥王星、谷神星与较大小行星
冥王星:在人马座逆行。20日冥王星冲日,整夜可观测。视星等14.3等,视直径0.1”。
谷神星:由双子座移至巨蟹座,顺行。22日谷神星合日,接近太阳不可见。视星等8.6→8.4等,视直径0.3”。
智神星:由波江座移至猎户座,顺行。日出前位于东方。视星等9.5→9.4等,视直径0.2”。
婚神星:在双鱼座,顺行,27日留后转为逆行,日出前位于南方附近。视星等9.7→9.1等,视直径0.1”→0.2”。
灶神星:在宝瓶座,顺行,12日留后转为逆行,日出前位于西南方。视星等6.7→6.3等,视直径0.4”→0.5”。
2022/7/2 金星合毕宿五 ★
7月2日07:30金星合毕宿五(视赤经4h37m11s),地心所见金星在毕宿五以北4.17度的地方,相当于手臂打直后,食指、中指与无名指三指合并顶端的宽度。日出前可见于东方低空。
2022/7/3 月掩轩辕十三
2022年7月3日下午再次发生月掩轩辕十三(狮子座η星,3.5等),当天月球的亮面范围为16%。相较2月17日事件,最不同之处是发生在白天。由于受到暮光影响,轩辕十三在掩入前较不容易找到。若想挑战本次现象,建议躲在阴暗处用望远镜观看月球,根据月面地貌特征将视野移到恒星复出的相对位置,较容易看见复出现象。
全局概述 见掩位置 现象 北京时间 地理经度 地理纬度 掩始 14:44:23 29.75° 30.14° 掩甚 17:00:08 101.05° 28.83° 掩终 19:15:56 148.43° -10.75° 宽:5548公里,掩星时长:92分28秒
2022/7/3 轩辕十四合月 + 轩辕十二合月 ★
7月3日17:22轩辕十四合月(视赤经10h09m33s),地心所见轩辕十四在月球以南4.92度的地方;23:17轩辕十二合月(视赤经10h21m11s),地心所见轩辕十二在月球以北4.06度的地方。傍晚西边天空,可以看到一弯月龄4的蛾眉月,如小船般挂在天上,轩辕十四、轩辕十二在其两侧,几乎等距,好似“双星夹月”般连成一线。肉眼就可以看到这幅有趣的景象。
2022/7/4 地球过远日点 ★
2022年7月4日15时11分地球通过轨道远日点,日地距离1.016715天文单位、1亿5209万8454公里,太阳视直径31′28″,是年度最小的太阳。
2022/7/4 (2266)Tchaikovsky掩UCAC4 404-080401
小行星在背景星空中移动时,有时会遮掩远方的恒星,这种现象就是小行星掩星。北京时间2022年7月4日22时09分,直径约53.6km,视星等16.45等小行星柴可夫斯基(2266)Tchaikovsky掩盾牌座11.91等恒星UCAC4 404-080401(J2000.0坐标:赤经18h35m33.033s,赤纬-09°19′18.48″),最长见掩时长2.8秒,减光(星等下降)4.55等,距离月球114度,月球光照面26%。掩带经过上海市,浙江嘉兴市、湖州市,安徽宣城市、芜湖市、铜陵市,河南新县,湖北随州市、襄阳市,陕西安康市,甘肃文县,四川九寨沟县,青海久治县、甘德县、达日县、曲麻莱县,新疆于田县、策勒县、和田市、墨玉县、昆玉市、塔什库尔干塔吉克自治县等地。须提前熟悉观测目标,在掩星预报中间时刻前5到15分钟开始计时观测,误差勿超过1秒。限口径20cm中型以上天文望远镜参加。
掩星观测的重要性
通过观测小行星如何遮挡恒星的星光,可测量出这颗小行星的体积、质量、密度和反射率等情况。帮助科学家为将来的深空探测、了解太阳系的历史提供数据参考。
2022/7/7 小暑 ★
2022年7月7日10时38分小暑,太阳视黄经105°,太阳视赤纬+22°35′。小暑是二十四节气之第十一个节气,夏季的第五个节气。《淮南子·卷三:天文训》:(斗)指丁则小暑。意思是,在子夜的时候,北斗柄指向丁位时,就是小暑。
2022/7/7 (882)Swetlana掩TYC 6275-00376-1(好条件)
小行星在背景星空中移动时,有时会遮掩远方的恒星,这种现象就是小行星掩星。北京时间2022年7月7日22时59分,直径约48.8km,视星等14.79等小行星斯维特兰娜(882)Swetlana掩人马座10.38等恒星TYC 6275-00376-1(J2000.0坐标:赤经18h34m54.678s,赤纬-19°25′37.09″),最长见掩时长3.4秒,减光(星等下降)4.68等,距离月球76度,月球光照面56%。
掩带经过江苏如东县、如皋市、海安市、东台市、泰州市、兴化市、高邮市、金湖县、盱眙县,安徽天长市、明光市、五河县、蚌埠市、怀远县、固镇县、蒙城县、利辛县、涡阳县、太和县、界首市,河南郸城县、项城市、周口市、西华县、漯河市、西平县、临颍县、舞阳县、叶县、平顶山市、郏县、鲁山县、汝州市、汝阳县、嵩县、栾川县、洛宁县、卢氏县、灵宝市,陕西华阴市、洛南县、渭南市、临潼区、富平县、泾阳县、铜川市、淳化县、乾县、永寿县、彬州市、麟游县、长武县、陇县,甘肃灵台县、崇信县、华亭市、张家川回族自治县、庄浪县、静宁县、通渭县、会宁县、定西市、榆中县、兰州市、永靖县,青海民和回族土族自治县、海东市、化隆回族自治县、西宁市、湟源县、海晏县、青海湖、天峻县、乌兰县、德令哈市,新疆尉犁县、轮台县、昭苏县等地。须提前熟悉观测目标,在掩星预报中间时刻前5到15分钟开始计时观测,误差勿超过1秒。限口径20cm中型以上天文望远镜参加。
2022/7/7 角宿一合月 ★
7月7日23:37角宿一合月(视赤经13h26m22s),地心所见角宿一在月球以南4.85度的地方。夜幕降临,明亮的上弦月挂在西南方,左下有颗蓝白的、如同宝石一般的恒星,这就是室女座的最亮星角宿一。距离相当于手臂打直后,食指、中指与无名指三指合并顶端的宽度。下一次角宿一合月在8月4日。
2022/7/7 狮子座R星最亮 ★
狮子座R星,又名HR 3882,是狮子座的一颗脉动变星、富氧红巨星,其J2000.0坐标为赤经9h47m33.4839808805s,赤纬+11°25′43.823283729″。预测7月达到最亮。狮子座R星距离我们大约372光年,光变周期约为312天,亮度从4.4等至11.3等之间变化,2009年起,科学家透过该恒星光变曲线变化,推测出可能的系外行星,周期约为5.2年,透过多次的观测资料累积,更能够确定系外行星是否存在。建议提前在5月至6月观测它最大程度的快速增亮。大多数米拉型变星在变暗时相对缓慢,但在变亮时会突然变亮。
2022/7/8 蒭藁增二最亮 ★
鲸鱼座ο星即蒭藁增二(拼音:chú gǎo zēng èr,注音:ㄔㄨˊ ㄍㄠˇ ㄗㄥ ㄦˋ)(J2000.0坐标:赤经02h19m20.79s,赤纬-02°58′39.5″),是米拉型变星的原型,它距离我们大约300光年,极大亮度时是所有米拉型变星中最亮的,亮度变化从肉眼轻易可见的2等至中型天文望远镜可见的10.1等之间,光变周期约为332天。可惜在6月下旬日出前它位于东方低空,受大气消光的影响,最精彩的快速变亮的过程很难看到。今年只能欣赏它在秋天夜空中慢慢变暗了。
2022/7/8 木卫三食 ★
木卫三是太阳系中最大的卫星,直径比水星大。7月8日凌晨,木卫三进入木星影子里,形成食。01时49.4分木卫三食始,04时56.5分木卫三食终。木卫三视直径1.5角秒,食始时,视星等由5.0等迅速减光至18.0等。可用小型天文望远镜追踪观测木卫三。
2022/7/10 七月飞马座流星雨极大期(ZHR~5)
七月飞马座流星雨(July Pegasids,00175 JPE)是每年固定发生的小流星雨之一,出现日期介在6月30日至8月3日之间,今年极大期预测落在7月10日。平均ZHR约为5,速度中等(每秒68公里),流星昏暗。今年受月光影响,不推荐一般业余欣赏。
月闪现象
月闪(流星体撞击月球表面产生的闪光)是小概率事件。在月落之前,利用视频方法监视月球暗面,有可能记录到月闪现象。观测月闪须用口径20cm以上望远镜,焦距1,000mm,半吋或更大的CCD或CMOS,赤道仪或望远镜附有旋场器的经纬仪,有月球追踪速度。电脑分析软件有VitrualDub、Limovie、Registax、UFO、LunarScan、Visual Spec等。当晚还发生月掩房宿三。
2022/7/10 月掩房宿三(2.3等)★★
由于靠近黄道,天蝎座的房宿三有时被月球和行星(极少)遮挡,形成掩星现象。7月10日20时30分前后,月掩房宿三(天蝎座δ星,2.3等),恒星从月球暗缘掩入,月龄11(盈凸月)。如果你没有见过月掩星,这是个好机会!
全局概述 见掩位置 现象 北京时间 地理经度 地理纬度 掩始 20:02:15 78.89° 55.48° 掩甚 21:28:14 130.69° 42.79° 掩终 22:54:19 165.53° 27.92° 掩星时长:76分17秒
2022/7/11 心宿二合月 ★
7月11日08:22心宿二合月(视赤经16h30m47s),地心所见心宿二在月球以南2.97度的地方。夜间21时左右朝南方观看,距离已经拉开至约7度远,相当于手臂打直后,四指合并顶端的宽度。心宿二(天蝎座α星)是一等星,古代称之为“大火”,它是一颗红超巨星,呈红色。西方认为心宿二为蝎子之心。下一次心宿二合月在8月7日,距离更近。
2022/7/13~14 月掩人马座HIP 95865(逢满月)
7月14日1时前后,月掩人马座HIP 95865(5.6等),恒星从月球亮缘掩入、暗缘复出。然而,月龄14.8(满月),几乎没有黑暗的部分,观测条件也没有太大的差别。用小型天文望远镜较不容易观察。
全局概述 见掩位置 现象 北京时间 地理经度 地理纬度 掩始 23:19:47 54.55° 24.13° 掩甚 01:02:09 101.06° 17.59° 掩终 02:44:28 149.23° 34.99° 宽:4885公里,掩星时长:87分29秒
2022/7/14 年度最大满月 ★★★★★
本年度最大满月发生在7月14日2时38分,距离地球约35万7418公里。若将相机连接到长焦镜头或望远镜,并在相同条件下拍摄满月,便可观察它的大小差异。
2022/7/16 土星合月 ★
7月16日04:17土星合月(视赤经21h46m51s),地心所见土星在月球以北4.05度的地方。日出前朝南方观看,明亮的亏凸月位于摩羯座,犹如一盏夜灯;上方有一颗亮度0.5等、呈现淡黄色的土星相伴。二者垂直排列,距离相当于手臂打直后,食指、中指与无名指三指合并顶端的宽度。若利用小型天文望远镜,还能看见美丽的土星环。下一次土星合月在8月12日。
2022/7/19 木星合月 ★★
7月19日08:59木星合月(视赤经0h33m37s),地心所见木星在月球以北2.23度的地方。日出时位于南方天空,月龄20.4的亏凸月,犹如一盏夜灯;旁边还有一颗亮度0.5等、呈现白色的木星,犹如一颗明珠,闪闪发光。二者的间隔相当于手臂打直后,食指与中指两指合并顶端的宽度。下一次木星合月在8月15日。
若用天文望远镜观测木星,有机会看见卫星凌木现象:
19日01时29.9分 木卫三凌入 19日03时47.3分 木卫一影入 19日04时08.0分 木卫三凌出 19日05时06.8分 木卫一凌入 19日06时01.2分 木卫一影出 19日07时18.8分 木卫一凌出
木星卫星掩食凌影现象
“掩”是地球、木星、木卫成一直线,木卫被木星遮挡的现象; “食”是太阳、木星、木卫成一直线,木卫在木星影子里的现象; “凌”是地球、木卫、木星成一直线,木卫在木星前方通过的现象; “影”是太阳、木卫、木星成一直线,木卫影子投影在木星表面的现象。
2022/7/20 人类月球日
为了纪念1969年7月20日人类第一次登月成功,人们把每年的7月20日定为“人类月球日”。正如阿姆斯特朗所说,这是个人的一小步,却是人类的一大步。人类登月为探索月球资源及移民火星提供了参考的价值,对于人类探索太空的历史来说意义十分巨大。
2022/7/20 冥王星冲日
2022年7月20日09时39分冥王星冲日(视黄经差180°),视星等14.3等,视直径0.1角秒,位于人马座。前后几天都是一年中观测矮行星冥王星(134340 Pluto)的最好时机。
2022/7/21 火星进入冬至时刻 ★
火星的自转周期与地球接近,一个火星日仅比地球长约40分钟,火星的自转轴倾角为25.19°,与地球也非常接近,因此火星也和地球一样,存在昼夜交替和四季变化。而火星的公转周期约687天,即1个火星年相当于1.9个地球年,这意味着火星每个季节的平均持续时间约是地球上的2倍。2022年7月21日火星进入冬至时刻(太阳经度Ls=270°),火星北半球进入一年中最冷的时节,同时也是火星的沙尘暴季节。
2022/7/21~22 月掩火星 ★★★
7月22日00:46火星合月(视赤经2h37m39s),地心所见火星在月球以南1.06度,相当于2倍满月的视直径,或是手臂打直后,小拇指顶端的宽度。在中国东北部、日本、俄罗斯部分地区,还可见月掩火星。
全局概述 (无中心) 见掩位置 现 象 北京时间 地理经度 地理纬度 掩始外切 22:33:56 142.96° 31.77° 掩始内切 22:34:30 142.76° 31.94° 掩 甚 23:55:04 102.46° 63.41° 掩终内切 01:15:30 -17.56° 72.85° 掩终外切 01:16:03 -18.19° 72.73°
2022/7/23 大暑 ★
2022年7月23日04时07分大暑,太阳视黄经120°,太阳视赤纬+20°09′。大暑是夏季最后一个节气。《通纬·孝经援神契》云:“小暑后十五日,斗指未,为大暑,六月中。小大者,就极热之中,分为大小,初后为小,望后为大也。”
2022/7/23 月球和昴星团排成一列 ★
7月23日黎明的东方天空,可见残月和昴宿星团排成一列。昴宿星团(拼音:mǎo xiù xīng tuán)简称昴星团或M45,又称七姊妹星团,它是离我们最近也是最亮的疏散星团之一。一般人肉眼能看到6颗星,眼力好的话能看到更多,因此它可用来检验你视力好坏或者天气晴朗情况。
2022/7/24 毕宿五合月 ★
7月24日11:36毕宿五合月(视赤经4h37m11s),地心所见毕宿五在月球以南7.37度的地方。日出前可见于东方,月相为残月,二者距离相当于手臂打直后,四指合并顶端的宽度。下一次毕宿五合月在8月20日。
2022/7/26 金星合月 ★
7月26日22:11金星合月(视赤经6h44m46s),地心所见金星在月球以南4.17度的地方。日出前30分钟朝东方低空观看,月龄27的残月在金星的上方,两天体在双子座中垂直排列。下一次金星合月在8月26日。
2022/7/28 南鱼座流星雨极大期(ZHR~5)★
南鱼座流星雨(Piscis Austrinids,00183 PAU)是每年固定发生的小流星雨之一,出现日期介在7月15日至8月10日之间,今年预测极大期落在7月28日,逢晦,几乎没有月光影响。然而这个流星雨观测资料缺乏,有限的观测资料显示其数量并不多,平均ZHR仅约5或更低,流星速度稍慢(每秒35公里),平均亮度低(4等以下),并不是很好的观赏目标。
2022/7/28 七月天龙座γ流星雨极大期(ZHR~5)
七月天龙座γ流星雨(July gamma Draconids,00184 GDR)是每年固定发生的小流星雨之一,出现日期介在7月22日至8月2日之间,今年预测极大期落在7月28日,逢晦,几乎没有月光影响。由于流星大都偏暗,于肉眼观察不利。
2022/7/30 水星合月 + 轩辕十四合月
7月30日(国际友谊日)05:07水星合月(视赤经9h33m34s),地心所见水星在月球以南3.60度的地方;23:08轩辕十四合月(视赤经10h09m33s),地心所见轩辕十四在月球以南4.78度的地方。傍晚时它们的位置很低,受暮光的影响,肉眼很难看到。
2022/7/30 宝瓶座δ南流星雨极大期(ZHR~25)★
宝瓶座δ南流星雨(Southern delta Aquariids,00005 SDA)是每年固定发生的中型流星雨之一,出现日期介在7月12日至8月23日之间,今年极大期预计将发生在7月30日,天顶每时出现率ZHR约25,流星速度中等(每秒41公里),通常缺乏流星痕和明亮的火流星,和南鱼座流星雨一样都亮度偏暗(4等以下),真正每小时可见流星只有零零散散的几颗。不过,今年不受月光影响(7月29日01:55朔),这意味着,在天气晴好的情况下,观测条件几乎是完美!
2022/7/30 摩羯座α流星雨极大期(ZHR~5)★
摩羯座α流星雨(alpha Capricornids,00001 CAP)是每年固定发生的小型流星雨之一,出现日期介在7月3日至8月15日之间,今年极大期预计将发生在7月30日,并可能延续到7月31日,平均ZHR只有5,不过流星速度虽极慢(每秒仅23公里)这点容易与其他流星雨分辨开来,而平均亮度中等(约3等),偶尔会出现令人惊艳的火流星。
月闪(流星体撞击月球表面产生的闪光)是小概率事件。在30或31日傍晚月落之前的短暂时间,利用视频方法监视月球暗面,有可能记录到月闪现象。白色小点为月闪可能出现的区域。
7月中国各地见月掩星时间表
博科园APP和手机用户注意:
下面灰色框这一小部分表不换行(因为量较大,为了节省空间和方便展示)需左右滑动即可看全部内容…
7月(地心视象)
02日 07时31分 金星合毕宿五,金星在毕宿五以北4.18度 03日 17时22分 轩辕十四合月,轩辕十四在月球以南4.92度 04日 15时11分 地球过远日点:1.016715天文单位、1亿5209万8454公里,太阳视直径31′28″ 06日 21时31分 月球过天赤道,进入南半球 07日 10时14分 上弦 07日 10时38分 小暑,太阳视黄经105°,太阳视赤纬+22°35′ 07日 23时37分 角宿一合月,角宿一在月球以南4.85度 10日 01时28分 月球过降交点 10日 13时 水星视赤纬最北+23°45′ 11日 08时22分 心宿二合月,心宿二在月球以南2.97度 13日 05时17分 月球视赤纬最南-26°55.2′ 13日 17时06分 月球过近地点:357264km,本年最近 14日 02时38分 望,年度最大满月 14日 11时28分 冥王星合月,冥王星在月球以北2.57度 16日 04时17分 土星合月,土星在月球以北4.05度 17日 03时38分 水星上合日,水星在太阳背后,不可见 18日 08时50分 海王星合月,海王星在月球以北3.29度 19日 08时59分 木星合月,木星在月球以北2.23度 19日 09时23分 月球过天赤道,进入北半球 20日 09时39分 冥王星冲日,14.3等,是一年中观测矮行星冥王星(134340 Pluto)的最好时机 20日 22时19分 下弦 22日 00时46分 火星合月,火星在月球以南1.06度(月掩火星,中国东北部、日本、俄罗斯部分地区可见) 22日 12时 金星视赤纬最北+22°51′ 22日 14时21分 天王星合月,天王星在月球以南0.24度(月掩天王星,巴西东部可见) 22日 17时21分 月球过升交点 23日 04时07分 大暑,太阳视黄经120°,太阳视赤纬+20°09′ 24日 11时36分 毕宿五合月,毕宿五在月球以南7.37度 25日 17时 木星视赤纬最北+2°09′ 26日 17时17分 月球视赤纬最北+26°56.6′ 26日 18时22分 月球过远地点:406274km 26日 22时11分 金星合月,金星在月球以南4.17度 28日 02时21分 北河三合月,北河三在月球以北2.20度 29日 01时55分 朔 29日 19时47分 木星留(视赤经00.57h),转为逆行 30日 05时07分 水星合月,水星在月球以南3.60度 30日 23时08分 轩辕十四合月,轩辕十四在月球以南4.78度
*注1:凡称行星合月、恒星合月、行星合恒星、行星合行星,皆指地心视赤经相同;惟合日则用地心视黄经,冲日亦如之。
*注2:瞬时中天经度是指行星合月与恒星合月、行星合恒星与行星合行星时,由北极向南极的同一地理经度都能同时看到它们相合时的瞬时中天(纬度不必考虑)。例如2021/12/03/08:28火星合月(视赤经合),在东经151.3度经线上可以看到它们同时到达中天。中天即是当地的视子午线。详见紫金山天文台官方微信说明。
天象载太阳、月球和行星的动态以及其他天文现象,包括:
(1)行星的地心天象(冲日、合日、方照、留、内行星东西大距以及金星最亮、火星最近地球等)和日心天象(过近日点和远日点、纬度最北和最南、过升交点和过降交点等);
(2)日月食概况;
(3)朔、望、两弦,月球过近地点和远地点;
(4)月掩行星或掩四颗亮恒星(毕宿五即金牛座α星、轩辕十四即狮子座α星、角宿一即室女座α星、心宿二即天蝎座α星),行星合月,行星之间以及行星与五颗亮恒星(除上列四颗外,另加北河三β星)之间相合。
现把各种天象分别说明如下:
天顶每时出现率(Zenithal Hourly Rate,简称ZHR)是天文学专有名词。来自中国天文学会天文学名词审定委员会审定发布的天文学专有名词中文译名。假设辐射点位于仰角90度的天顶,在理想情况下,一个肉眼视力能够看到6.5等星的观测者可以看见的流星数量最多的流量值。实际能看见的会低于此一数值。
ZHR不应该译作“每小时天顶流星数”,国际流星组织(IMO)没有“ZHN = Zenith Hourly Number(天顶每小时流星数)”、“ZHF = Zenith Hourly Flow(天顶每小时流量)”这一类的词。维基百科以及百度百科按照国际流星组织从2017年12月21日上架的《2018流星雨日历》中文版开始,将ZHR的中文翻译为“天顶每时出现率”。开源的星空模拟软件Stellarium(虚拟天文馆)亦在最新的0.21.2版本中更新了zh_CN的翻译。
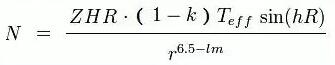
关于流星的数量(Number)采用下列公式计算:
其中,N为可见流星数目;Teff为观测时长;K为云量遮盖率(百分比);lm为可见最暗星星的亮度(最佳条件为6.5等,实际需考虑当地光污染因素);hR为流星雨辐射点距地平线的仰角(地平高度);r为亮度指标,r值通常介于2.0(明亮)到3.5(暗淡)之间。
合月、月掩星、行星间和行星与恒星相合:行星或恒星合月以及行星之间、行星与恒星相合都是指视赤经相合而言。行星在天球上运行的路线以及四颗亮恒星(毕宿五、轩辕十四、角宿一和心宿二)都很接近黄道,因而月球18.6年交点运动周期内有机会掩蔽它们。
月掩星:月球在天空中每月移动一周,每小时约东移半度多,相当于月球的视角直径。月球移动时常将恒星和行星掩蔽起来,这种现象称为月掩星。观测月掩星可以测定观测者的地理坐标、研究双星、测定太阳视差及月球位置等,是业余天文学家感兴趣的观测项目之一。专业天文学家亦需要仰赖月掩射电源来求出射电源的准确位置。
阴历是按月球的月相周期来安排的历法,它的一年有12个朔望月,约354或355日。主要根据月球绕地球运行一周时间为一个月,称为朔望月,大约29.530588日,大月有30日、小月有29日。
月相是月球环绕地球公转时,地球、月球、太阳之相对位置的变化,地球上的观测者从不同角度看到月球被太阳照亮的部分,造成月相盈亏圆缺之变化。月相盈亏周期平均是29.530588日,历法中之朔望月源于此。
朔、蛾眉月、上弦、盈凸月、望、亏凸月、下弦,残月分别是月球视黄经超过太阳视黄经0、45、90、135、180、225、270、315度的时刻。
月龄是指从新月为起始,在一个朔望月周期内,出现各种月相所经历的天数。月龄的数值通常用带一位小数的数字表示,比如月龄7.4是上弦月,月龄14.8是满月,月龄22.2是下弦月。因此月龄和阴历是有关连的,只不过阴历只显示朔望月每日的整数,而月龄是计算月相所经历的天数,为求更加准确,很多时会显示至小数后一个位(甚至几个位)。如果知道确实的月龄,便能推算出当时月球大致的形状、出没时刻及所在方位。
合日和冲日:外行星或小行星视黄经与太阳视黄经相同的时候称为合日,相差180度的时候叫做冲日。内行星(水星和金星)的合日有上合和下合之分,上合是行星在太阳之后,即太阳在内行星与地球之间,下合是行星在太阳之前,即行星在太阳与地球之间,上合的时候,行星是顺行,即行星由西向东移动,下合时是逆行,即行星由东向西移动。行星相邻两次合日(或冲日)的平均间隔称为会和周期,根据行星的平均运动得出行星的会和周期如下:
水星 115.88日 土 星 378.09日 金星 583.92日 天王星 369.66日 火星 779.94日 海王星 367.48日 木星 398.88日 冥王星 366.72日
由于轨道偏心率和摄动的影响,实际间隔与会和周期有一定的差异。
留:由于地球和行星绕日运动时运行速度和相对位置的不同,行星在天空的视运动有时顺行(自西向东),有时逆行。顺行和逆行之间有一个时刻行星看来是停留不动的,这叫做留。顺行而留,留后逆行叫做顺留;逆行而留,留后顺行叫做逆留。内行星发生在上合日以后,外行星发生在冲日以后。
东大距和西大距:外行星对太阳的角距可以为任何数值,在180度时为冲日。而内行星由于轨道是在地球轨道内侧,所以从地球上看,它们对太阳的角距不能超过某种限度,并且没有冲日现象。内行星在太阳之东(或西)的最大角距称为东(或西)大距。水星在下合日前后约20天达东大距或西大距,由于水星轨道偏心率比较大,最大角距变化在18度~28度之间。金星在下合日前后70天左右达东西大距,角距约为46度~48度。内行星发生的天象其循环总是这样:下合-留-西大距-上合-东大距-留-下合。
金星最亮:从地球看金星,也像月球一样有盈亏晦明现象。金星约在下合日前后36天,或东大距之后西大距之前35天为最亮。金星的会合周期约为584天,所以它的最亮日期有时全年都没有,有时一年有两次。
关于金星的亮度计算采用下列公式计算:
m=-4.47+5lgrΔ+0.0103i+0.000057i²+0.00000013i³,2.2
0.98+5lgrΔ-0.0102i,163.6
i以“度”为单位,r、Δ以“天文单位”为单位。
位相角采用下列公式计算:
设L与B表示其日心的、l与b表示其地心的黄经与黄纬,θ表示太阳的黄经,且将其黄纬略而不计。设在太阳一地球一行星三点所组成的平面三角形内,以σ表示地球所在的角,σ’表示太阳所在的角,则
cosσ=cos(θ-l)cosb
cosσ’=-cos(θ-L)cosB
i=180-(σ-σ’)
σ角是地面观测者所看的行星对于太阳的距角,常小于直角;σ’角在一或二象限内,按其余弦的符号而决定。
方照:对外行星而言,行星视黄经超过太阳视黄经90度和270度时为方照,在太阳以东90度时称为东方照,在太阳以西90度时为西方照。
距角:是自地球看行星与太阳之间的角度,从太阳向东或向西计算,由0°至180°,但由于行星轨道与黄道有一定的倾斜,行星合日和冲日时,距角不一定恰好是0°或180°。
距角E是用下式计算:
cosE=(R²+△²-r²)/2R△
其中R和r分别是地球和行星的日心向径,△是行星的地心距离。
过近日点和过远日点:
假使不考虑摄动影响,行星的轨道为一椭圆,而太阳在其焦点上,行星在轨道上离太阳最近的一点,称为近日点,最远的一点称为远日点。所列过近日点和过远日点日期是行星向径为极小或极大的日期,也就是已经考虑摄动的影响,这与由平均轨道根数近日点黄经等于0度或180度的日期稍有不同。
行星纬度最南最北:是日心黄纬最南、最北的时刻,最北时黄纬为正,最南时黄纬为负。
预报的时间同时适用于所有东八时区(UTC+08:00)的地方,包括:中国、蒙古、菲律宾、新加坡、马来西亚及文莱。
欢迎关注本站公众号
实时获取最新咨询
移动端首页 | PC端
免责声明:本站资料来自网络和网友分享,如有侵权请联系本站
Email:wlcz_8@163.com 站长QQ:17893691
2026© by Qi Mobile Web
天象包括行星天象(合日、冲日、凌日、大距、行星最接近地球、过远近日点、升降交点、纬度最南最北,以及行星相合、行星合恒星等),月相,月球过远近地点,月掩行星和恒星,变星,日月食,二分二至,彗星,流星雨,月闪等诸多天文事件。
2022年7月4日15时11分,地球通过公转轨道上的远日点,此时距离太阳1亿5209万8454公里,是今年所见到的日面最小的一天,大约比今年1月4日地球通过近日点时所见的日面视直径小了约3.4%。
7月日没后夜幕低垂之时,可见牧夫座α星大角闪烁于天顶附近 ,随后南方天空的室女座角宿一,东北方天空天琴座的织女星,东南方天空天蝎座的心宿二等几颗明亮的一等星,也陆续的在天色渐暗的夜空中现其芳踪。夏季明亮的天蝎人马段银河,也已经横躺在东南方地平之上。
太阳系天体动态
太阳:由双子座运行至巨蟹座。
水星:由金牛座经双子座、巨蟹座移至狮子座,顺行。17日上合,在太阳背后不可见。视星等-0.8→-2.2→-0.7等,视直径5.9”→5.0”→5.2”。
金星:由金牛座移至双子座,顺行,日出前可见于东偏北方附近低空。视星等-3.9→-3.8等,视直径11.8”→10.7”。
火星:由双鱼座移至白羊座,顺行,日出前可见于东方。视星等0.5→0.2等,视直径7.1”→8.2”。
木星:在双鱼座,顺行,29日留后转为逆行,日出前可见于东方。视星等-2.4→-2.7等,视直径40.7”→44.9”。
土星:在摩羯座逆行,日出前可见于西南方。视星等0.6→0.4等,视直径18.1”→18.7”。
天王星:在白羊座顺行,日出前位于东方。视星等5.8等,视直径3.4”→3.5”。
海王星:在双鱼座逆行,日出前位于西南方。视星等7.9→7.8等,视直径2.3”。
矮行星冥王星、谷神星与较大小行星
冥王星:在人马座逆行。20日冥王星冲日,整夜可观测。视星等14.3等,视直径0.1”。
谷神星:由双子座移至巨蟹座,顺行。22日谷神星合日,接近太阳不可见。视星等8.6→8.4等,视直径0.3”。
智神星:由波江座移至猎户座,顺行。日出前位于东方。视星等9.5→9.4等,视直径0.2”。
婚神星:在双鱼座,顺行,27日留后转为逆行,日出前位于南方附近。视星等9.7→9.1等,视直径0.1”→0.2”。
灶神星:在宝瓶座,顺行,12日留后转为逆行,日出前位于西南方。视星等6.7→6.3等,视直径0.4”→0.5”。
2022/7/2 金星合毕宿五 ★
7月2日07:30金星合毕宿五(视赤经4h37m11s),地心所见金星在毕宿五以北4.17度的地方,相当于手臂打直后,食指、中指与无名指三指合并顶端的宽度。日出前可见于东方低空。
2022/7/3 月掩轩辕十三
2022年7月3日下午再次发生月掩轩辕十三(狮子座η星,3.5等),当天月球的亮面范围为16%。相较2月17日事件,最不同之处是发生在白天。由于受到暮光影响,轩辕十三在掩入前较不容易找到。若想挑战本次现象,建议躲在阴暗处用望远镜观看月球,根据月面地貌特征将视野移到恒星复出的相对位置,较容易看见复出现象。
全局概述 见掩位置
现象 北京时间 地理经度 地理纬度
掩始 14:44:23 29.75° 30.14°
掩甚 17:00:08 101.05° 28.83°
掩终 19:15:56 148.43° -10.75°
宽:5548公里,掩星时长:92分28秒
2022/7/3 轩辕十四合月 + 轩辕十二合月 ★
7月3日17:22轩辕十四合月(视赤经10h09m33s),地心所见轩辕十四在月球以南4.92度的地方;23:17轩辕十二合月(视赤经10h21m11s),地心所见轩辕十二在月球以北4.06度的地方。傍晚西边天空,可以看到一弯月龄4的蛾眉月,如小船般挂在天上,轩辕十四、轩辕十二在其两侧,几乎等距,好似“双星夹月”般连成一线。肉眼就可以看到这幅有趣的景象。
2022/7/4 地球过远日点 ★
2022年7月4日15时11分地球通过轨道远日点,日地距离1.016715天文单位、1亿5209万8454公里,太阳视直径31′28″,是年度最小的太阳。
2022/7/4 (2266)Tchaikovsky掩UCAC4 404-080401
小行星在背景星空中移动时,有时会遮掩远方的恒星,这种现象就是小行星掩星。北京时间2022年7月4日22时09分,直径约53.6km,视星等16.45等小行星柴可夫斯基(2266)Tchaikovsky掩盾牌座11.91等恒星UCAC4 404-080401(J2000.0坐标:赤经18h35m33.033s,赤纬-09°19′18.48″),最长见掩时长2.8秒,减光(星等下降)4.55等,距离月球114度,月球光照面26%。掩带经过上海市,浙江嘉兴市、湖州市,安徽宣城市、芜湖市、铜陵市,河南新县,湖北随州市、襄阳市,陕西安康市,甘肃文县,四川九寨沟县,青海久治县、甘德县、达日县、曲麻莱县,新疆于田县、策勒县、和田市、墨玉县、昆玉市、塔什库尔干塔吉克自治县等地。须提前熟悉观测目标,在掩星预报中间时刻前5到15分钟开始计时观测,误差勿超过1秒。限口径20cm中型以上天文望远镜参加。
掩星观测的重要性
通过观测小行星如何遮挡恒星的星光,可测量出这颗小行星的体积、质量、密度和反射率等情况。帮助科学家为将来的深空探测、了解太阳系的历史提供数据参考。
2022/7/7 小暑 ★
2022年7月7日10时38分小暑,太阳视黄经105°,太阳视赤纬+22°35′。小暑是二十四节气之第十一个节气,夏季的第五个节气。《淮南子·卷三:天文训》:(斗)指丁则小暑。意思是,在子夜的时候,北斗柄指向丁位时,就是小暑。
2022/7/7 (882)Swetlana掩TYC 6275-00376-1(好条件)
小行星在背景星空中移动时,有时会遮掩远方的恒星,这种现象就是小行星掩星。北京时间2022年7月7日22时59分,直径约48.8km,视星等14.79等小行星斯维特兰娜(882)Swetlana掩人马座10.38等恒星TYC 6275-00376-1(J2000.0坐标:赤经18h34m54.678s,赤纬-19°25′37.09″),最长见掩时长3.4秒,减光(星等下降)4.68等,距离月球76度,月球光照面56%。
掩带经过江苏如东县、如皋市、海安市、东台市、泰州市、兴化市、高邮市、金湖县、盱眙县,安徽天长市、明光市、五河县、蚌埠市、怀远县、固镇县、蒙城县、利辛县、涡阳县、太和县、界首市,河南郸城县、项城市、周口市、西华县、漯河市、西平县、临颍县、舞阳县、叶县、平顶山市、郏县、鲁山县、汝州市、汝阳县、嵩县、栾川县、洛宁县、卢氏县、灵宝市,陕西华阴市、洛南县、渭南市、临潼区、富平县、泾阳县、铜川市、淳化县、乾县、永寿县、彬州市、麟游县、长武县、陇县,甘肃灵台县、崇信县、华亭市、张家川回族自治县、庄浪县、静宁县、通渭县、会宁县、定西市、榆中县、兰州市、永靖县,青海民和回族土族自治县、海东市、化隆回族自治县、西宁市、湟源县、海晏县、青海湖、天峻县、乌兰县、德令哈市,新疆尉犁县、轮台县、昭苏县等地。须提前熟悉观测目标,在掩星预报中间时刻前5到15分钟开始计时观测,误差勿超过1秒。限口径20cm中型以上天文望远镜参加。
2022/7/7 角宿一合月 ★
7月7日23:37角宿一合月(视赤经13h26m22s),地心所见角宿一在月球以南4.85度的地方。夜幕降临,明亮的上弦月挂在西南方,左下有颗蓝白的、如同宝石一般的恒星,这就是室女座的最亮星角宿一。距离相当于手臂打直后,食指、中指与无名指三指合并顶端的宽度。下一次角宿一合月在8月4日。
2022/7/7 狮子座R星最亮 ★
狮子座R星,又名HR 3882,是狮子座的一颗脉动变星、富氧红巨星,其J2000.0坐标为赤经9h47m33.4839808805s,赤纬+11°25′43.823283729″。预测7月达到最亮。狮子座R星距离我们大约372光年,光变周期约为312天,亮度从4.4等至11.3等之间变化,2009年起,科学家透过该恒星光变曲线变化,推测出可能的系外行星,周期约为5.2年,透过多次的观测资料累积,更能够确定系外行星是否存在。建议提前在5月至6月观测它最大程度的快速增亮。大多数米拉型变星在变暗时相对缓慢,但在变亮时会突然变亮。
2022/7/8 蒭藁增二最亮 ★
鲸鱼座ο星即蒭藁增二(拼音:chú gǎo zēng èr,注音:ㄔㄨˊ ㄍㄠˇ ㄗㄥ ㄦˋ)(J2000.0坐标:赤经02h19m20.79s,赤纬-02°58′39.5″),是米拉型变星的原型,它距离我们大约300光年,极大亮度时是所有米拉型变星中最亮的,亮度变化从肉眼轻易可见的2等至中型天文望远镜可见的10.1等之间,光变周期约为332天。可惜在6月下旬日出前它位于东方低空,受大气消光的影响,最精彩的快速变亮的过程很难看到。今年只能欣赏它在秋天夜空中慢慢变暗了。
2022/7/8 木卫三食 ★
木卫三是太阳系中最大的卫星,直径比水星大。7月8日凌晨,木卫三进入木星影子里,形成食。01时49.4分木卫三食始,04时56.5分木卫三食终。木卫三视直径1.5角秒,食始时,视星等由5.0等迅速减光至18.0等。可用小型天文望远镜追踪观测木卫三。
2022/7/10 七月飞马座流星雨极大期(ZHR~5)
七月飞马座流星雨(July Pegasids,00175 JPE)是每年固定发生的小流星雨之一,出现日期介在6月30日至8月3日之间,今年极大期预测落在7月10日。平均ZHR约为5,速度中等(每秒68公里),流星昏暗。今年受月光影响,不推荐一般业余欣赏。
月闪现象
月闪(流星体撞击月球表面产生的闪光)是小概率事件。在月落之前,利用视频方法监视月球暗面,有可能记录到月闪现象。观测月闪须用口径20cm以上望远镜,焦距1,000mm,半吋或更大的CCD或CMOS,赤道仪或望远镜附有旋场器的经纬仪,有月球追踪速度。电脑分析软件有VitrualDub、Limovie、Registax、UFO、LunarScan、Visual Spec等。当晚还发生月掩房宿三。
2022/7/10 月掩房宿三(2.3等)★★
由于靠近黄道,天蝎座的房宿三有时被月球和行星(极少)遮挡,形成掩星现象。7月10日20时30分前后,月掩房宿三(天蝎座δ星,2.3等),恒星从月球暗缘掩入,月龄11(盈凸月)。如果你没有见过月掩星,这是个好机会!
全局概述 见掩位置
现象 北京时间 地理经度 地理纬度
掩始 20:02:15 78.89° 55.48°
掩甚 21:28:14 130.69° 42.79°
掩终 22:54:19 165.53° 27.92°
掩星时长:76分17秒
2022/7/11 心宿二合月 ★
7月11日08:22心宿二合月(视赤经16h30m47s),地心所见心宿二在月球以南2.97度的地方。夜间21时左右朝南方观看,距离已经拉开至约7度远,相当于手臂打直后,四指合并顶端的宽度。心宿二(天蝎座α星)是一等星,古代称之为“大火”,它是一颗红超巨星,呈红色。西方认为心宿二为蝎子之心。下一次心宿二合月在8月7日,距离更近。
2022/7/13~14 月掩人马座HIP 95865(逢满月)
7月14日1时前后,月掩人马座HIP 95865(5.6等),恒星从月球亮缘掩入、暗缘复出。然而,月龄14.8(满月),几乎没有黑暗的部分,观测条件也没有太大的差别。用小型天文望远镜较不容易观察。
全局概述 见掩位置
现象 北京时间 地理经度 地理纬度
掩始 23:19:47 54.55° 24.13°
掩甚 01:02:09 101.06° 17.59°
掩终 02:44:28 149.23° 34.99°
宽:4885公里,掩星时长:87分29秒
2022/7/14 年度最大满月 ★★★★★
本年度最大满月发生在7月14日2时38分,距离地球约35万7418公里。若将相机连接到长焦镜头或望远镜,并在相同条件下拍摄满月,便可观察它的大小差异。
2022/7/16 土星合月 ★
7月16日04:17土星合月(视赤经21h46m51s),地心所见土星在月球以北4.05度的地方。日出前朝南方观看,明亮的亏凸月位于摩羯座,犹如一盏夜灯;上方有一颗亮度0.5等、呈现淡黄色的土星相伴。二者垂直排列,距离相当于手臂打直后,食指、中指与无名指三指合并顶端的宽度。若利用小型天文望远镜,还能看见美丽的土星环。下一次土星合月在8月12日。
2022/7/19 木星合月 ★★
7月19日08:59木星合月(视赤经0h33m37s),地心所见木星在月球以北2.23度的地方。日出时位于南方天空,月龄20.4的亏凸月,犹如一盏夜灯;旁边还有一颗亮度0.5等、呈现白色的木星,犹如一颗明珠,闪闪发光。二者的间隔相当于手臂打直后,食指与中指两指合并顶端的宽度。下一次木星合月在8月15日。
若用天文望远镜观测木星,有机会看见卫星凌木现象:
19日01时29.9分 木卫三凌入
19日03时47.3分 木卫一影入
19日04时08.0分 木卫三凌出
19日05时06.8分 木卫一凌入
19日06时01.2分 木卫一影出
19日07时18.8分 木卫一凌出
木星卫星掩食凌影现象
“掩”是地球、木星、木卫成一直线,木卫被木星遮挡的现象;
“食”是太阳、木星、木卫成一直线,木卫在木星影子里的现象;
“凌”是地球、木卫、木星成一直线,木卫在木星前方通过的现象;
“影”是太阳、木卫、木星成一直线,木卫影子投影在木星表面的现象。
2022/7/20 人类月球日
为了纪念1969年7月20日人类第一次登月成功,人们把每年的7月20日定为“人类月球日”。正如阿姆斯特朗所说,这是个人的一小步,却是人类的一大步。人类登月为探索月球资源及移民火星提供了参考的价值,对于人类探索太空的历史来说意义十分巨大。
2022/7/20 冥王星冲日
2022年7月20日09时39分冥王星冲日(视黄经差180°),视星等14.3等,视直径0.1角秒,位于人马座。前后几天都是一年中观测矮行星冥王星(134340 Pluto)的最好时机。
2022/7/21 火星进入冬至时刻 ★
火星的自转周期与地球接近,一个火星日仅比地球长约40分钟,火星的自转轴倾角为25.19°,与地球也非常接近,因此火星也和地球一样,存在昼夜交替和四季变化。而火星的公转周期约687天,即1个火星年相当于1.9个地球年,这意味着火星每个季节的平均持续时间约是地球上的2倍。2022年7月21日火星进入冬至时刻(太阳经度Ls=270°),火星北半球进入一年中最冷的时节,同时也是火星的沙尘暴季节。
2022/7/21~22 月掩火星 ★★★
7月22日00:46火星合月(视赤经2h37m39s),地心所见火星在月球以南1.06度,相当于2倍满月的视直径,或是手臂打直后,小拇指顶端的宽度。在中国东北部、日本、俄罗斯部分地区,还可见月掩火星。
全局概述 (无中心) 见掩位置
现 象 北京时间 地理经度 地理纬度
掩始外切 22:33:56 142.96° 31.77°
掩始内切 22:34:30 142.76° 31.94°
掩 甚 23:55:04 102.46° 63.41°
掩终内切 01:15:30 -17.56° 72.85°
掩终外切 01:16:03 -18.19° 72.73°
2022/7/23 大暑 ★
2022年7月23日04时07分大暑,太阳视黄经120°,太阳视赤纬+20°09′。大暑是夏季最后一个节气。《通纬·孝经援神契》云:“小暑后十五日,斗指未,为大暑,六月中。小大者,就极热之中,分为大小,初后为小,望后为大也。”
2022/7/23 月球和昴星团排成一列 ★
7月23日黎明的东方天空,可见残月和昴宿星团排成一列。昴宿星团(拼音:mǎo xiù xīng tuán)简称昴星团或M45,又称七姊妹星团,它是离我们最近也是最亮的疏散星团之一。一般人肉眼能看到6颗星,眼力好的话能看到更多,因此它可用来检验你视力好坏或者天气晴朗情况。
2022/7/24 毕宿五合月 ★
7月24日11:36毕宿五合月(视赤经4h37m11s),地心所见毕宿五在月球以南7.37度的地方。日出前可见于东方,月相为残月,二者距离相当于手臂打直后,四指合并顶端的宽度。下一次毕宿五合月在8月20日。
2022/7/26 金星合月 ★
7月26日22:11金星合月(视赤经6h44m46s),地心所见金星在月球以南4.17度的地方。日出前30分钟朝东方低空观看,月龄27的残月在金星的上方,两天体在双子座中垂直排列。下一次金星合月在8月26日。
2022/7/28 南鱼座流星雨极大期(ZHR~5)★
南鱼座流星雨(Piscis Austrinids,00183 PAU)是每年固定发生的小流星雨之一,出现日期介在7月15日至8月10日之间,今年预测极大期落在7月28日,逢晦,几乎没有月光影响。然而这个流星雨观测资料缺乏,有限的观测资料显示其数量并不多,平均ZHR仅约5或更低,流星速度稍慢(每秒35公里),平均亮度低(4等以下),并不是很好的观赏目标。
2022/7/28 七月天龙座γ流星雨极大期(ZHR~5)
七月天龙座γ流星雨(July gamma Draconids,00184 GDR)是每年固定发生的小流星雨之一,出现日期介在7月22日至8月2日之间,今年预测极大期落在7月28日,逢晦,几乎没有月光影响。由于流星大都偏暗,于肉眼观察不利。
2022/7/30 水星合月 + 轩辕十四合月
7月30日(国际友谊日)05:07水星合月(视赤经9h33m34s),地心所见水星在月球以南3.60度的地方;23:08轩辕十四合月(视赤经10h09m33s),地心所见轩辕十四在月球以南4.78度的地方。傍晚时它们的位置很低,受暮光的影响,肉眼很难看到。
2022/7/30 宝瓶座δ南流星雨极大期(ZHR~25)★
宝瓶座δ南流星雨(Southern delta Aquariids,00005 SDA)是每年固定发生的中型流星雨之一,出现日期介在7月12日至8月23日之间,今年极大期预计将发生在7月30日,天顶每时出现率ZHR约25,流星速度中等(每秒41公里),通常缺乏流星痕和明亮的火流星,和南鱼座流星雨一样都亮度偏暗(4等以下),真正每小时可见流星只有零零散散的几颗。不过,今年不受月光影响(7月29日01:55朔),这意味着,在天气晴好的情况下,观测条件几乎是完美!
2022/7/30 摩羯座α流星雨极大期(ZHR~5)★
摩羯座α流星雨(alpha Capricornids,00001 CAP)是每年固定发生的小型流星雨之一,出现日期介在7月3日至8月15日之间,今年极大期预计将发生在7月30日,并可能延续到7月31日,平均ZHR只有5,不过流星速度虽极慢(每秒仅23公里)这点容易与其他流星雨分辨开来,而平均亮度中等(约3等),偶尔会出现令人惊艳的火流星。
月闪现象
月闪(流星体撞击月球表面产生的闪光)是小概率事件。在30或31日傍晚月落之前的短暂时间,利用视频方法监视月球暗面,有可能记录到月闪现象。白色小点为月闪可能出现的区域。
7月中国各地见月掩星时间表
博科园APP和手机用户注意:
下面灰色框这一小部分表不换行(因为量较大,为了节省空间和方便展示)需左右滑动即可看全部内容…
7月(地心视象)
02日 07时31分 金星合毕宿五,金星在毕宿五以北4.18度 03日 17时22分 轩辕十四合月,轩辕十四在月球以南4.92度 04日 15时11分 地球过远日点:1.016715天文单位、1亿5209万8454公里,太阳视直径31′28″ 06日 21时31分 月球过天赤道,进入南半球 07日 10时14分 上弦 07日 10时38分 小暑,太阳视黄经105°,太阳视赤纬+22°35′ 07日 23时37分 角宿一合月,角宿一在月球以南4.85度 10日 01时28分 月球过降交点 10日 13时 水星视赤纬最北+23°45′ 11日 08时22分 心宿二合月,心宿二在月球以南2.97度 13日 05时17分 月球视赤纬最南-26°55.2′ 13日 17时06分 月球过近地点:357264km,本年最近 14日 02时38分 望,年度最大满月 14日 11时28分 冥王星合月,冥王星在月球以北2.57度 16日 04时17分 土星合月,土星在月球以北4.05度 17日 03时38分 水星上合日,水星在太阳背后,不可见 18日 08时50分 海王星合月,海王星在月球以北3.29度 19日 08时59分 木星合月,木星在月球以北2.23度 19日 09时23分 月球过天赤道,进入北半球 20日 09时39分 冥王星冲日,14.3等,是一年中观测矮行星冥王星(134340 Pluto)的最好时机 20日 22时19分 下弦 22日 00时46分 火星合月,火星在月球以南1.06度(月掩火星,中国东北部、日本、俄罗斯部分地区可见) 22日 12时 金星视赤纬最北+22°51′ 22日 14时21分 天王星合月,天王星在月球以南0.24度(月掩天王星,巴西东部可见) 22日 17时21分 月球过升交点 23日 04时07分 大暑,太阳视黄经120°,太阳视赤纬+20°09′ 24日 11时36分 毕宿五合月,毕宿五在月球以南7.37度 25日 17时 木星视赤纬最北+2°09′ 26日 17时17分 月球视赤纬最北+26°56.6′ 26日 18时22分 月球过远地点:406274km 26日 22时11分 金星合月,金星在月球以南4.17度 28日 02时21分 北河三合月,北河三在月球以北2.20度 29日 01时55分 朔 29日 19时47分 木星留(视赤经00.57h),转为逆行 30日 05时07分 水星合月,水星在月球以南3.60度 30日 23时08分 轩辕十四合月,轩辕十四在月球以南4.78度*注1:凡称行星合月、恒星合月、行星合恒星、行星合行星,皆指地心视赤经相同;惟合日则用地心视黄经,冲日亦如之。
*注2:瞬时中天经度是指行星合月与恒星合月、行星合恒星与行星合行星时,由北极向南极的同一地理经度都能同时看到它们相合时的瞬时中天(纬度不必考虑)。例如2021/12/03/08:28火星合月(视赤经合),在东经151.3度经线上可以看到它们同时到达中天。中天即是当地的视子午线。详见紫金山天文台官方微信说明。
天象载太阳、月球和行星的动态以及其他天文现象,包括:
(1)行星的地心天象(冲日、合日、方照、留、内行星东西大距以及金星最亮、火星最近地球等)和日心天象(过近日点和远日点、纬度最北和最南、过升交点和过降交点等);
(2)日月食概况;
(3)朔、望、两弦,月球过近地点和远地点;
(4)月掩行星或掩四颗亮恒星(毕宿五即金牛座α星、轩辕十四即狮子座α星、角宿一即室女座α星、心宿二即天蝎座α星),行星合月,行星之间以及行星与五颗亮恒星(除上列四颗外,另加北河三β星)之间相合。
现把各种天象分别说明如下:
天顶每时出现率(Zenithal Hourly Rate,简称ZHR)是天文学专有名词。来自中国天文学会天文学名词审定委员会审定发布的天文学专有名词中文译名。假设辐射点位于仰角90度的天顶,在理想情况下,一个肉眼视力能够看到6.5等星的观测者可以看见的流星数量最多的流量值。实际能看见的会低于此一数值。
ZHR不应该译作“每小时天顶流星数”,国际流星组织(IMO)没有“ZHN = Zenith Hourly Number(天顶每小时流星数)”、“ZHF = Zenith Hourly Flow(天顶每小时流量)”这一类的词。维基百科以及百度百科按照国际流星组织从2017年12月21日上架的《2018流星雨日历》中文版开始,将ZHR的中文翻译为“天顶每时出现率”。开源的星空模拟软件Stellarium(虚拟天文馆)亦在最新的0.21.2版本中更新了zh_CN的翻译。
关于流星的数量(Number)采用下列公式计算:
其中,N为可见流星数目;Teff为观测时长;K为云量遮盖率(百分比);lm为可见最暗星星的亮度(最佳条件为6.5等,实际需考虑当地光污染因素);hR为流星雨辐射点距地平线的仰角(地平高度);r为亮度指标,r值通常介于2.0(明亮)到3.5(暗淡)之间。
合月、月掩星、行星间和行星与恒星相合:行星或恒星合月以及行星之间、行星与恒星相合都是指视赤经相合而言。行星在天球上运行的路线以及四颗亮恒星(毕宿五、轩辕十四、角宿一和心宿二)都很接近黄道,因而月球18.6年交点运动周期内有机会掩蔽它们。
月掩星:月球在天空中每月移动一周,每小时约东移半度多,相当于月球的视角直径。月球移动时常将恒星和行星掩蔽起来,这种现象称为月掩星。观测月掩星可以测定观测者的地理坐标、研究双星、测定太阳视差及月球位置等,是业余天文学家感兴趣的观测项目之一。专业天文学家亦需要仰赖月掩射电源来求出射电源的准确位置。
阴历是按月球的月相周期来安排的历法,它的一年有12个朔望月,约354或355日。主要根据月球绕地球运行一周时间为一个月,称为朔望月,大约29.530588日,大月有30日、小月有29日。
月相是月球环绕地球公转时,地球、月球、太阳之相对位置的变化,地球上的观测者从不同角度看到月球被太阳照亮的部分,造成月相盈亏圆缺之变化。月相盈亏周期平均是29.530588日,历法中之朔望月源于此。
朔、蛾眉月、上弦、盈凸月、望、亏凸月、下弦,残月分别是月球视黄经超过太阳视黄经0、45、90、135、180、225、270、315度的时刻。
月龄是指从新月为起始,在一个朔望月周期内,出现各种月相所经历的天数。月龄的数值通常用带一位小数的数字表示,比如月龄7.4是上弦月,月龄14.8是满月,月龄22.2是下弦月。因此月龄和阴历是有关连的,只不过阴历只显示朔望月每日的整数,而月龄是计算月相所经历的天数,为求更加准确,很多时会显示至小数后一个位(甚至几个位)。如果知道确实的月龄,便能推算出当时月球大致的形状、出没时刻及所在方位。
合日和冲日:外行星或小行星视黄经与太阳视黄经相同的时候称为合日,相差180度的时候叫做冲日。内行星(水星和金星)的合日有上合和下合之分,上合是行星在太阳之后,即太阳在内行星与地球之间,下合是行星在太阳之前,即行星在太阳与地球之间,上合的时候,行星是顺行,即行星由西向东移动,下合时是逆行,即行星由东向西移动。行星相邻两次合日(或冲日)的平均间隔称为会和周期,根据行星的平均运动得出行星的会和周期如下:
水星 115.88日 土 星 378.09日
金星 583.92日 天王星 369.66日
火星 779.94日 海王星 367.48日
木星 398.88日 冥王星 366.72日
由于轨道偏心率和摄动的影响,实际间隔与会和周期有一定的差异。
留:由于地球和行星绕日运动时运行速度和相对位置的不同,行星在天空的视运动有时顺行(自西向东),有时逆行。顺行和逆行之间有一个时刻行星看来是停留不动的,这叫做留。顺行而留,留后逆行叫做顺留;逆行而留,留后顺行叫做逆留。内行星发生在上合日以后,外行星发生在冲日以后。
东大距和西大距:外行星对太阳的角距可以为任何数值,在180度时为冲日。而内行星由于轨道是在地球轨道内侧,所以从地球上看,它们对太阳的角距不能超过某种限度,并且没有冲日现象。内行星在太阳之东(或西)的最大角距称为东(或西)大距。水星在下合日前后约20天达东大距或西大距,由于水星轨道偏心率比较大,最大角距变化在18度~28度之间。金星在下合日前后70天左右达东西大距,角距约为46度~48度。内行星发生的天象其循环总是这样:下合-留-西大距-上合-东大距-留-下合。
金星最亮:从地球看金星,也像月球一样有盈亏晦明现象。金星约在下合日前后36天,或东大距之后西大距之前35天为最亮。金星的会合周期约为584天,所以它的最亮日期有时全年都没有,有时一年有两次。
关于金星的亮度计算采用下列公式计算:
m=-4.47+5lgrΔ+0.0103i+0.000057i²+0.00000013i³,2.2
0.98+5lgrΔ-0.0102i,163.6
i以“度”为单位,r、Δ以“天文单位”为单位。
位相角采用下列公式计算:
设L与B表示其日心的、l与b表示其地心的黄经与黄纬,θ表示太阳的黄经,且将其黄纬略而不计。设在太阳一地球一行星三点所组成的平面三角形内,以σ表示地球所在的角,σ’表示太阳所在的角,则
cosσ=cos(θ-l)cosb
cosσ’=-cos(θ-L)cosB
i=180-(σ-σ’)
σ角是地面观测者所看的行星对于太阳的距角,常小于直角;σ’角在一或二象限内,按其余弦的符号而决定。
方照:对外行星而言,行星视黄经超过太阳视黄经90度和270度时为方照,在太阳以东90度时称为东方照,在太阳以西90度时为西方照。
距角:是自地球看行星与太阳之间的角度,从太阳向东或向西计算,由0°至180°,但由于行星轨道与黄道有一定的倾斜,行星合日和冲日时,距角不一定恰好是0°或180°。
距角E是用下式计算:
cosE=(R²+△²-r²)/2R△
其中R和r分别是地球和行星的日心向径,△是行星的地心距离。
过近日点和过远日点:
假使不考虑摄动影响,行星的轨道为一椭圆,而太阳在其焦点上,行星在轨道上离太阳最近的一点,称为近日点,最远的一点称为远日点。所列过近日点和过远日点日期是行星向径为极小或极大的日期,也就是已经考虑摄动的影响,这与由平均轨道根数近日点黄经等于0度或180度的日期稍有不同。
行星纬度最南最北:是日心黄纬最南、最北的时刻,最北时黄纬为正,最南时黄纬为负。
预报的时间同时适用于所有东八时区(UTC+08:00)的地方,包括:中国、蒙古、菲律宾、新加坡、马来西亚及文莱。