来源:科学大院微信公众号
故事要从亚里士多德说起。
这位古希腊先哲曾经断言,一个物体从高处坠落的速度,由这个物体本身的重量所决定。也就是说,亚里士多德认为,物体越重,下落的速度越快,反之,物体越轻,下落得也就越慢。
他的这个思想在之后影响了人类两千多年,直到伽利略提出另一种观点。
伽利略(1564-1642)
1636年,伽利略在一篇论著里认为,做自由落体运动的物体,其下落速度应该是匀速变化的,相传他还为此在意大利的比萨斜塔上做了实验——用大小两个不同质量的铁球,同时从比萨斜塔上同一高度抛下,结果果然证明,两个铁球是同时着地的。
事实上,伽利略并未做过比萨斜塔实验,这个故事很有可能是从他的学生那里流传而来。不过,故事中提到的科学原理却是实实在在存在的,叫做弱等效原理,又因为是由伽利略最早提出,所以也被称为伽利略等效原理。
弱等效原理和强等效原理共同构成的等效原理,是相对论中的重要原理和核心。今天我们就来重点讲讲等效原理的故事。
刚才,我们已经提到,等效原理是弱等效原理和强等效原理的统称,那么,弱等效原理是什么?强等效原理又是什么?如何验证它们的科学性呢?
弱等效原理
弱等效原理认为:一切物体(无论其材料、重量、形状如何)其引力质量等于惯性质量;例如引力质量为mg的物体所受地球的引力为mgg,其中g是地球的引力加速度。在该引力作用下,物体的运动由牛顿第二定律给出m1a,其中m1是惯性质量,a是运动的加速度;所以如果弱等效原理成立,即m1=mg,那么 a=g。这也就是说,一切物体的运动加速度均等于引力加速度。
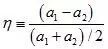
检验等效原理的实验都是观测两个不同重量或不同材料的物体1和2其运动加速度a1和a2的相对差别
检验弱等效原理的实验很多,但是历史文献中并没有记载伽利略在比萨斜塔上演示过自由落体实验,也不可能做这样的演示,因为空气对自由下落的两个不同物体的阻力是不同的,因而在地球上做这个实验,它们肯定是不会同时落地的。
有文献记载的第一个验证弱等效原理的实验,是牛顿在1686年完成的单摆实验,他在单摆底端的篮子中分别放入不同的物质,结果在
后来的实验中,值得关注的是厄缶1922年完成的等效原理扭称实验,在
而至今最精密的实验,是2004年对30年的地月测距数据分析结果,其精度是
更高精度的实验在地面实验室因噪声限制将很难实现。法国曾于去年发射了一颗小型卫星来进行等效原理实验,其设计精度是
从牛顿(1686)第一个实验至2008年的实验历经322年,实验精度提高了10个量级,法国发射的卫星实验设计精度再提高2个量级。人们可能会问:检验等效原理的实验有必要继续进行下去吗?答案是肯定的。
这是因为:
其一,等效原理是物理学的一个基本原理,它的适用范围必须由实验确定,只要实验技术和方法获得明显改进就要在更高精度上检验这个原理,从而深化人类对这一原理的认识(人类对自然规律的认识不应有终点)并希望发现这一原理的破坏从而发现新型基本相互作用力;
其二,证明等效原理成立的实验结果具有实际的应用价值,例如现在证明在
精度的精密实验的理论预言计算中出现惯性质量和引力质量时,我们就可以使这二种质量的数值相等,否则只能假定它们相等或者不等,因而实验数据的分析就包含这种假定。
强等效原理
强等效原理是爱因斯坦对弱等效原理的推广,所以又叫做爱因斯坦等效原理(它包含了弱等效原理)。
强等效原理是广义相对论的二个基本假设之一。该原理是说在引力场中总能找到“局部”惯性系在其中一切物理定律的方程式与狭义相对论中的形式相同。这里的“局部”没有数学意义而是由物理测量仪器的精度决定,也就是说测量仪器在这个“局部”(足够小的时空间隔)观测不到引力的存在。
地球在太阳引力场中做自由落体运动;地球就是太阳引力场中的一个“局部”惯性系,在地球上所完成的实验证明了经典电磁理论和量子电动力学以及粒子标准模型,也就是证明了物理定律的狭义相对论形式的正确,这也就是强等效原理的实验证据。
另外,2004年发表的对30年的地月测距数据的分析结果也证明了在
欢迎关注本站公众号
实时获取最新咨询
移动端首页 | PC端
免责声明:本站资料来自网络和网友分享,如有侵权请联系本站
Email:wlcz_8@163.com 站长QQ:17893691
2026© by Qi Mobile Web
来源:科学大院微信公众号
故事要从亚里士多德说起。
这位古希腊先哲曾经断言,一个物体从高处坠落的速度,由这个物体本身的重量所决定。也就是说,亚里士多德认为,物体越重,下落的速度越快,反之,物体越轻,下落得也就越慢。
他的这个思想在之后影响了人类两千多年,直到伽利略提出另一种观点。
伽利略(1564-1642)
1636年,伽利略在一篇论著里认为,做自由落体运动的物体,其下落速度应该是匀速变化的,相传他还为此在意大利的比萨斜塔上做了实验——用大小两个不同质量的铁球,同时从比萨斜塔上同一高度抛下,结果果然证明,两个铁球是同时着地的。
事实上,伽利略并未做过比萨斜塔实验,这个故事很有可能是从他的学生那里流传而来。不过,故事中提到的科学原理却是实实在在存在的,叫做弱等效原理,又因为是由伽利略最早提出,所以也被称为伽利略等效原理。
弱等效原理和强等效原理共同构成的等效原理,是相对论中的重要原理和核心。今天我们就来重点讲讲等效原理的故事。
刚才,我们已经提到,等效原理是弱等效原理和强等效原理的统称,那么,弱等效原理是什么?强等效原理又是什么?如何验证它们的科学性呢?
弱等效原理
弱等效原理认为:一切物体(无论其材料、重量、形状如何)其引力质量等于惯性质量;例如引力质量为mg的物体所受地球的引力为mgg,其中g是地球的引力加速度。在该引力作用下,物体的运动由牛顿第二定律给出m1a,其中m1是惯性质量,a是运动的加速度;所以如果弱等效原理成立,即m1=mg,那么 a=g。这也就是说,一切物体的运动加速度均等于引力加速度。
检验等效原理的实验都是观测两个不同重量或不同材料的物体1和2其运动加速度a1和a2的相对差别
检验弱等效原理的实验很多,但是历史文献中并没有记载伽利略在比萨斜塔上演示过自由落体实验,也不可能做这样的演示,因为空气对自由下落的两个不同物体的阻力是不同的,因而在地球上做这个实验,它们肯定是不会同时落地的。
有文献记载的第一个验证弱等效原理的实验,是牛顿在1686年完成的单摆实验,他在单摆底端的篮子中分别放入不同的物质,结果在
后来的实验中,值得关注的是厄缶1922年完成的等效原理扭称实验,在
而至今最精密的实验,是2004年对30年的地月测距数据分析结果,其精度是
更高精度的实验在地面实验室因噪声限制将很难实现。法国曾于去年发射了一颗小型卫星来进行等效原理实验,其设计精度是
从牛顿(1686)第一个实验至2008年的实验历经322年,实验精度提高了10个量级,法国发射的卫星实验设计精度再提高2个量级。人们可能会问:检验等效原理的实验有必要继续进行下去吗?答案是肯定的。
这是因为:
其一,等效原理是物理学的一个基本原理,它的适用范围必须由实验确定,只要实验技术和方法获得明显改进就要在更高精度上检验这个原理,从而深化人类对这一原理的认识(人类对自然规律的认识不应有终点)并希望发现这一原理的破坏从而发现新型基本相互作用力;
其二,证明等效原理成立的实验结果具有实际的应用价值,例如现在证明在
精度的精密实验的理论预言计算中出现惯性质量和引力质量时,我们就可以使这二种质量的数值相等,否则只能假定它们相等或者不等,因而实验数据的分析就包含这种假定。
强等效原理
强等效原理是爱因斯坦对弱等效原理的推广,所以又叫做爱因斯坦等效原理(它包含了弱等效原理)。
强等效原理是广义相对论的二个基本假设之一。该原理是说在引力场中总能找到“局部”惯性系在其中一切物理定律的方程式与狭义相对论中的形式相同。这里的“局部”没有数学意义而是由物理测量仪器的精度决定,也就是说测量仪器在这个“局部”(足够小的时空间隔)观测不到引力的存在。
地球在太阳引力场中做自由落体运动;地球就是太阳引力场中的一个“局部”惯性系,在地球上所完成的实验证明了经典电磁理论和量子电动力学以及粒子标准模型,也就是证明了物理定律的狭义相对论形式的正确,这也就是强等效原理的实验证据。
另外,2004年发表的对30年的地月测距数据的分析结果也证明了在